Question: Start by importing: import numpy as np, numpy.random as npr, numpy.linalg as la import scipy.stats as st import matplotlib.pyplot as plt plt.rc('axes', axisbelow=True) def disp(*args):
Start by importing:
import numpy as np, numpy.random as npr, numpy.linalg as la import scipy.stats as st import matplotlib.pyplot as plt plt.rc('axes', axisbelow=True) def disp(*args): print(*(f'{a:.3f}' if isinstance(a,float) else a for a in args)) np.set_printoptions(precision=4, floatmode='fixed', suppress=True)

Calculate using python:
(dg stands for diagonal matrix and tr stands for trace)
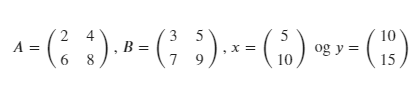
1. Ax + y
2. (A + 2BTT)x + 2x - 3y
3. xTy - dg(A) * x - 5 tr(B)
4. 2
5. diagonal between x and y in degrees
1- 3).-C.).:-) "57- (3)
Step by Step Solution
There are 3 Steps involved in it
Get step-by-step solutions from verified subject matter experts
