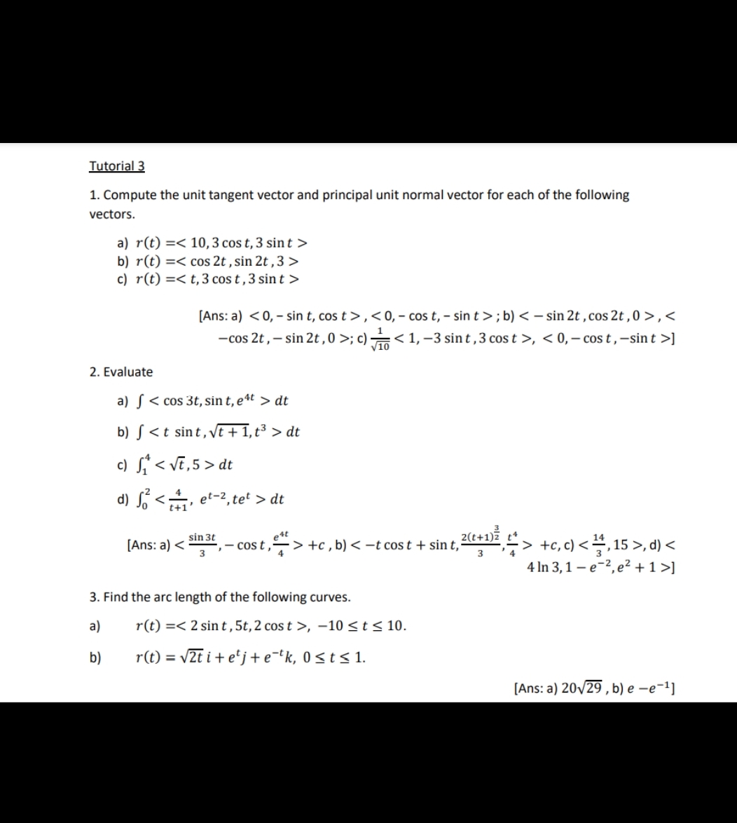
Question: Steps for Tutorial 3 Compute the unit tangent vector and principal unit normal vector for each of the following vectors. a ) r ( t
Steps for
Tutorial
Compute the unit tangent vector and principal unit normal vector for each of the following vectors.
a
b
c
: ;
Evaluate
a
b
c::
d
Ans: a b c d:
Find the arc length of the following curves.
a
b
Ans: a b
Step by Step Solution
There are 3 Steps involved in it
1 Expert Approved Answer
Step: 1 Unlock
Question Has Been Solved by an Expert!
Get step-by-step solutions from verified subject matter experts
Step: 2 Unlock
Step: 3 Unlock
