Question: subject: basic selling skills can you please answer these questions please. 22. It's time to Close when: (Select the Correct Answer) a. Customer has confirmed
subject: basic selling skills
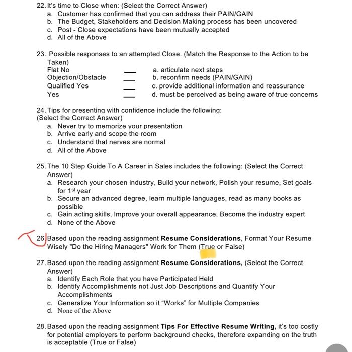
22. It's time to Close when: (Select the Correct Answer) a. Customer has confirmed that you can address their PAIN/GAIN b. The Budget, Stakeholders and Decision Making process has been uncovered c. Post - Close expectations have been mutually accepted d. All of the Above 23. Possible responses to an attempted Close. (Match the Response to the Action to be Taken) Flat No Objection/Obstacle Qualified Yes Yes a. articulate next steps b. reconfirm needs (PAIN/GAIN) c. provide additional information and reassurance d. must be perceived as being aware of true concerns 24. Tips for presenting with confidence include the following: (Select the Correct Answer) a. Never try to memorize your presentation b. Arrive early and scope the room c. Understand that nerves are normal d. All of the Above 25. The 10 Step Guide To A Career in Sales includes the following: (Select the Correct Answer) a. Research your chosen industry, Build your network, Polish your resume, Set goals for 1st year b. Secure an advanced degree, learn multiple languages, read as many books as possible c. Gain acting skills, Improve your overall appearance, Become the industry expert d. None of the Above 26 Based upon the reading assignment Resume Considerations, Format Your Resume Wisely "Do the Hiring Managers" Work for Them (True or False) 27. Based upon the reading assignment Resume Considerations, (Select the Correct Answer) a. Identify Each Role that you have Participated Held b. Identify Accomplishments not Just Job Descriptions and Quantify Your Accomplishments c. Generalize Your Information so it "Works" for Multiple Companies d. None of the Above 28. Based upon the reading assignment Tips For Effective Resume Writing, it's too costly for potential employers to perform background checks, therefore expanding on the truth is acceptable (True or False)
can you please answer these questions please.
Step by Step Solution
There are 3 Steps involved in it
1 Expert Approved Answer
Step: 1 Unlock
Question Has Been Solved by an Expert!
Get step-by-step solutions from verified subject matter experts
Step: 2 Unlock
Step: 3 Unlock
