Question: Subject: Complex Variable & Integral Transforms Roll Number is 2019 - CE - 127, then. 1 is first digit of your Roll Number and will
Subject: Complex Variable & Integral Transforms
Roll Number is 2019 - CE - 127, then.
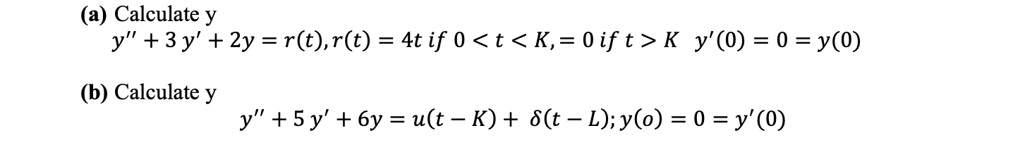
1 is first digit of your Roll Number and will be denoted by the letter K
2 is the second digit of your Roll Number and will be denoted by the letter L
7 is the third digit of your Roll Number and will be denoted by the letter M

\f
Step by Step Solution
There are 3 Steps involved in it
Get step-by-step solutions from verified subject matter experts
