Question: Hello, please answer all questions (1-4) seen below and ensure that you answer everything correctly. Please do not attempt these problems if you do not






Hello, please answer all questions (1-4) seen below and ensure that you answer everything correctly. Please do not attempt these problems if you do not understand/can't answer them properly. These are questions based on a complex variables course. If you can, please include any properties used along with clear work. Please write legibly, thank you so much for all of your help! If you have any questions don't hesitate to ask :) Thank you again, and everything necessary is included below. Section 6.6.2 refers to Evaluation of Real Improper Integrals and includes Cauchys Principal Value. This will also be included below.






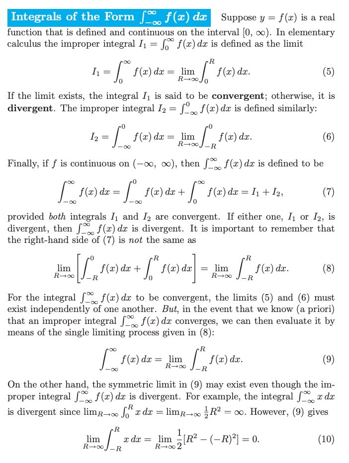
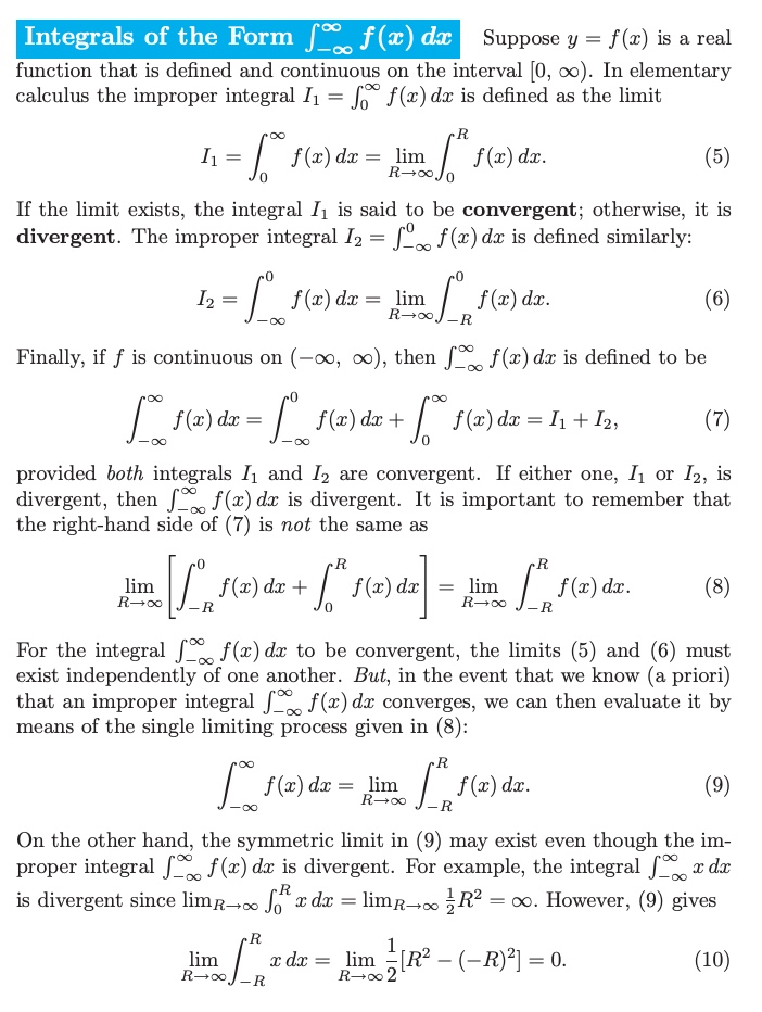
Integrals of the Form J f(x) da Suppose y = f(x) is a real function that is defined and continuous on the interval [0, oo). In elementary calculus the improper integral I1 = fo f(x) dx is defined as the limit 1 = f(x) dx = lim (5) R-+coJo f(x) dr. If the limit exists, the integral /1 is said to be convergent; otherwise, it is divergent. The improper integral 12 = J . f(x) dx is defined similarly: 12 = f(x) dx = lim / f(x) da. (6) Finally, if f is continuous on (-oo, co), then J_ f(x) dx is defined to be (7) provided both integrals /1 and /2 are convergent. If either one, I1 or 12, is divergent, then f_ f(x) da is divergent. It is important to remember that the right-hand side of (7) is not the same as lim (8) R-+DO For the integral J_f(x) dx to be convergent, the limits (5) and (6) must exist independently of one another. But, in the event that we know (a priori) that an improper integral J_ f(x) dx converges, we can then evaluate it by means of the single limiting process given in (8): [ f()da = jim J f(2) da. (9) On the other hand, the symmetric limit in (9) may exist even though the im- proper integral J_ f(x) dx is divergent. For example, the integral J_ x dr is divergent since limR . Jo x dx = limR-+Do = R2 = co. However, (9) gives . R lim edx = lim ROS RS - (-R)"] = 0. (10) R-+Do -RCauchy Principal Value When an integral of form (2) converges, its Cauchy principal value is the same as the value of the integral. If the integral diverges, it may still possess a Cauchy principal value (11). One final point about the Cauchy principal value: Suppose f(x) is con- tinuous on (-oo, co) and is an even function, that is, f(-x) = f(x). Then its graph is symmetric with respect to the y-axis and as a consequence [ s(x)da = [ f(2)da (12) [" s(a)de= [ s(a)dat f f(a)da = 2 f(z)da. .R and (13 ) From (12) and (13) we conclude that if the Cauchy principal value (11) exists, then both of(x) dx and f_ f(x) dx converge. The values of the integrals are 1. f()de = , P.V. J f(x)da and J f(2) da = P.V. J f(2) da. To evaluate an integral f_f(x) dx, where the rational function f (x) = p(x)/q(x) is continuous on (-oo, oo), by residue theory we replace x by the complex variable z and integrate the complex function f over a closed contour C that consists of the interval [-R, R] on the real axis and a semicircle CR of radius large enough to enclose all the poles of f(z) = p(z)/q(z) in the upper half-plane Im(z) > 0. See Figure 6.11. By Theorem 6.16 of Section 6.5 we have f s ( z ) dz = ] s( z)dz+ _ f(x) da = 2mi _ Res(f (2), zk), k=1 where zk, k = 1, 2, . . . , n denotes poles in the upper half-plane. If we can show that the integral fo. f(2) dz - 0 as R - co, then we have P.V. / f(x) dx = lim R -00 f(x) dx = 2ri Res(f(z), Zk). (14) DO k=1eix 1.a. Evaluate A = pv. dx 0 23 + 4x2 + 5x sinc b. Use calculus to prove the convergence of the improper integral B = dx, and find its value. + 4x2 + 5x d 2. Check that you can apply one of the theorems in 6.6.2, and evaluate D = f m \f4.a. Evaluate I = zel/=dz, Ci is the positively oriented unit circle. Hint. Use the Laurent exapansion centred at z = 0 of f(z) = zel/= to find Res(zel/=, 0). TT 1 b. Evaluate J = P z sin z dz, where C2 is the rectangle shown in the figure. 4 - 1
Step by Step Solution
There are 3 Steps involved in it
Get step-by-step solutions from verified subject matter experts
