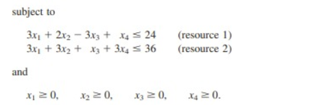
Question: Subject:- Operation Research Explain in Detail & also share Excel Steps Software Packaged to be used:- Microsoft Excel ! 4.7-6. Consider the following problem. Maximize
Subject:- Operation Research
Explain in Detail & also share Excel Steps
Software Packaged to be used:- Microsoft Excel !




Step by Step Solution
There are 3 Steps involved in it
1 Expert Approved Answer
Step: 1 Unlock
Question Has Been Solved by an Expert!
Get step-by-step solutions from verified subject matter experts
Step: 2 Unlock
Step: 3 Unlock
