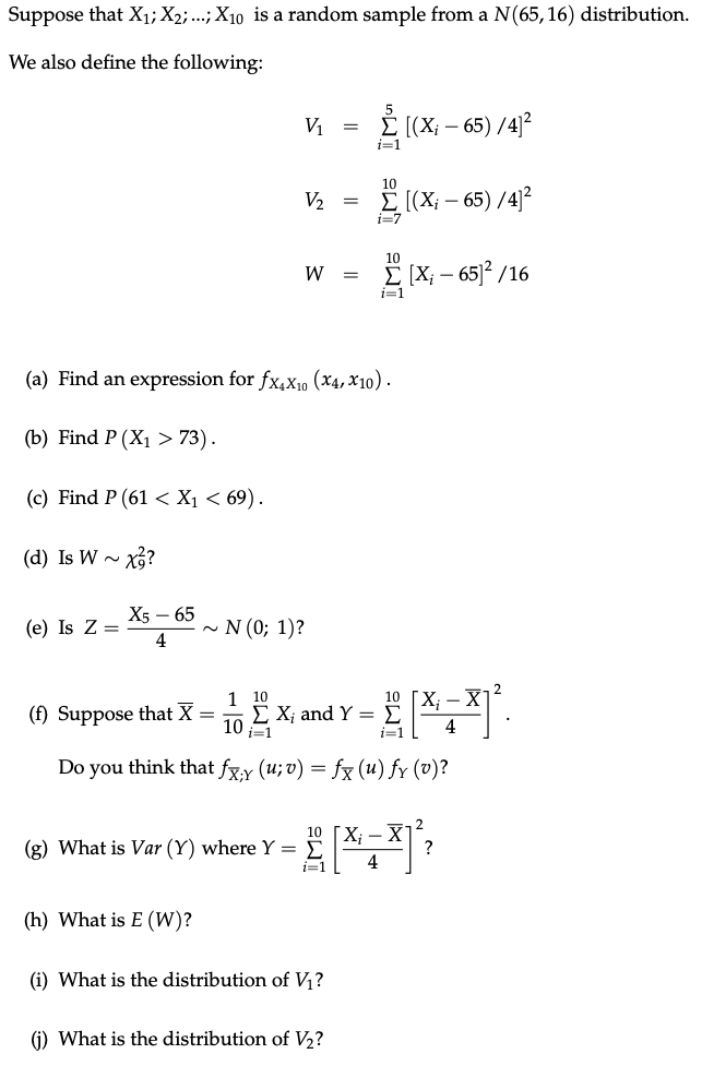
Question: Suppose that X1; X2;...; X10 is a random sample from a N(65, 16) distribution. We also define the following: VI = E[(X; -65) /412 1=1

Suppose that X1; X2;...; X10 is a random sample from a N(65, 16) distribution. We also define the following: VI = E[(X; -65) /412 1=1 V2 = E [(X; - 65) /412 i=7 10 W = E [X; - 65]2 /16 1=1 (a) Find an expression for fx, Xin (X4, X10) . (b) Find P (X1 > 73) . (c) Find P (61
Step by Step Solution
There are 3 Steps involved in it
Get step-by-step solutions from verified subject matter experts
