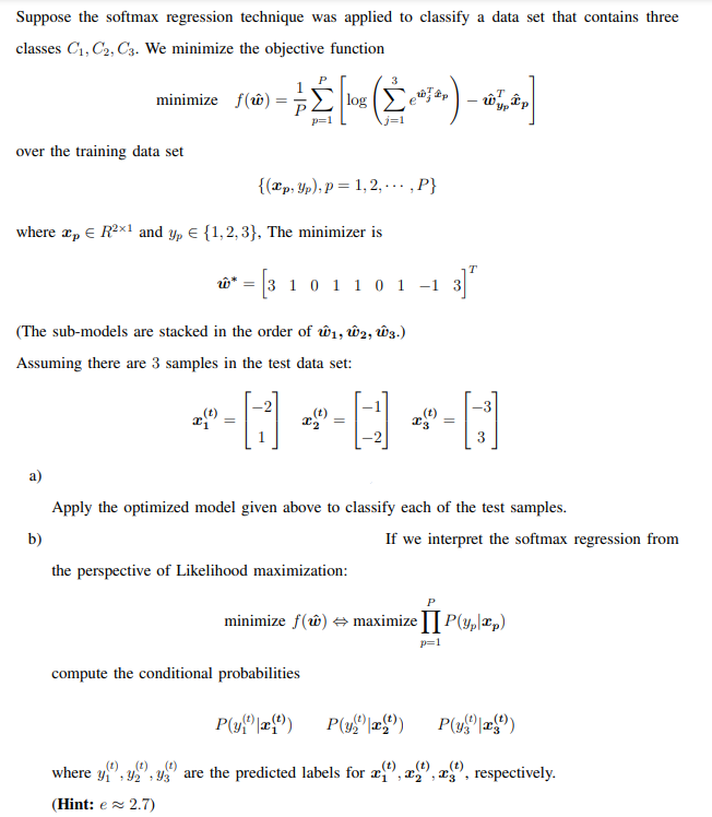
Question: Suppose the softmax regression technique was applied to classify a data set that contains three classes C1,C2,C3. We minimize the objective function minimizef(w^)=P1p=1P[log(j=13ew^jTx^p)w^ypTx^p] over the

Suppose the softmax regression technique was applied to classify a data set that contains three classes C1,C2,C3. We minimize the objective function minimizef(w^)=P1p=1P[log(j=13ew^jTx^p)w^ypTx^p] over the training data set {(xp,yp),p=1,2,,P} where xpR21 and yp{1,2,3}, The minimizer is w^=[310110113]T (The sub-models are stacked in the order of w^1,w^2,w^3.) Assuming there are 3 samples in the test data set: x1(t)=[21]x2(t)=[12]x3(t)=[33] a) Apply the optimized model given above to classify each of the test samples. b) If we interpret the softmax regression from the perspective of Likelihood maximization: minimizef(w^)maximizep=1PP(ypxp) compute the conditional probabilities P(y1(t)x1(t))P(y2(t)x2(t))P(y3(t)x3(t)) where y1(t),y2(t),y3(t) are the predicted labels for x1(t),x2(t),x3(t), respectively. (Hint: e2.7 )
Step by Step Solution
There are 3 Steps involved in it
Get step-by-step solutions from verified subject matter experts
