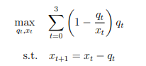
Question: Suppose you have a three-year contract for a limestone quarry. You that there are 128 limestone blocks left in the quarry. The price is fixed
Suppose you have a three-year contract for a limestone quarry. You that there are 128 limestone blocks left in the quarry. The price is fixed by the government at $1 per block. The cost of mining is q^2_t /x_t , where qt is the rate of mining and x_t is the number of blocks left in the quarry. Given the firms problem is

solve for the optimal production plan. Then using the system of difference equations, provide a table of all the optimal values of xt , qt , marginal cost, and the Lagrange multiplier (t+1) from year 0 to year 2. Hint: the final t+1 must be zero.
qt,xtmaxs.t.t=03(1xtqt)qtxt+1=xtqt
Step by Step Solution
There are 3 Steps involved in it
1 Expert Approved Answer
Step: 1 Unlock
Question Has Been Solved by an Expert!
Get step-by-step solutions from verified subject matter experts
Step: 2 Unlock
Step: 3 Unlock
