Question: System Analysis For example build a table that includes: a. Each course/discipline b. What will yo u utilize from this discipline/ course on this company
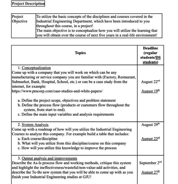
System Analysis
For example build a table that includes:
a. Each course/discipline
b. What will you utilize from this discipline/course on this company
c. How will you utilize this knowledge to improve the process
Required system analysis
Step by Step Solution
There are 3 Steps involved in it
1 Expert Approved Answer
Step: 1 Unlock
Question Has Been Solved by an Expert!
Get step-by-step solutions from verified subject matter experts
Step: 2 Unlock
Step: 3 Unlock
