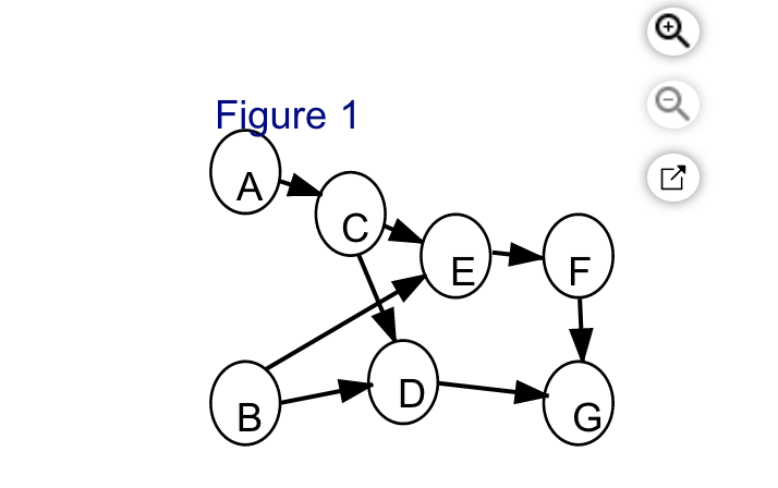
Question: Task time estimates for the modification of an assembly line at Jim Goodale's Carbondale, Illinois, factory are as follows: Time Activity (in hours) A



Task time estimates for the modification of an assembly line at Jim Goodale's Carbondale, Illinois, factory are as follows: Time Activity (in hours) A Immediate Predecessor(s) BCDEFG 5.0 7.2 - 5.0 A 6.0 B, C 5.1 B, C 8.1 D 5.0 E, F This exercise contains only part a. a) The correct precedence diagram for the project is shown in Figure 1 Figure 2 Figure 3 Figure 1 A B E F Figure 2 B F D Figure 3 A B E F +
Step by Step Solution
There are 3 Steps involved in it
Get step-by-step solutions from verified subject matter experts
