Question: The Balrner-alpha line is observed to split into three spectral lines when placed in an external magnetic field. One of these lines has the same








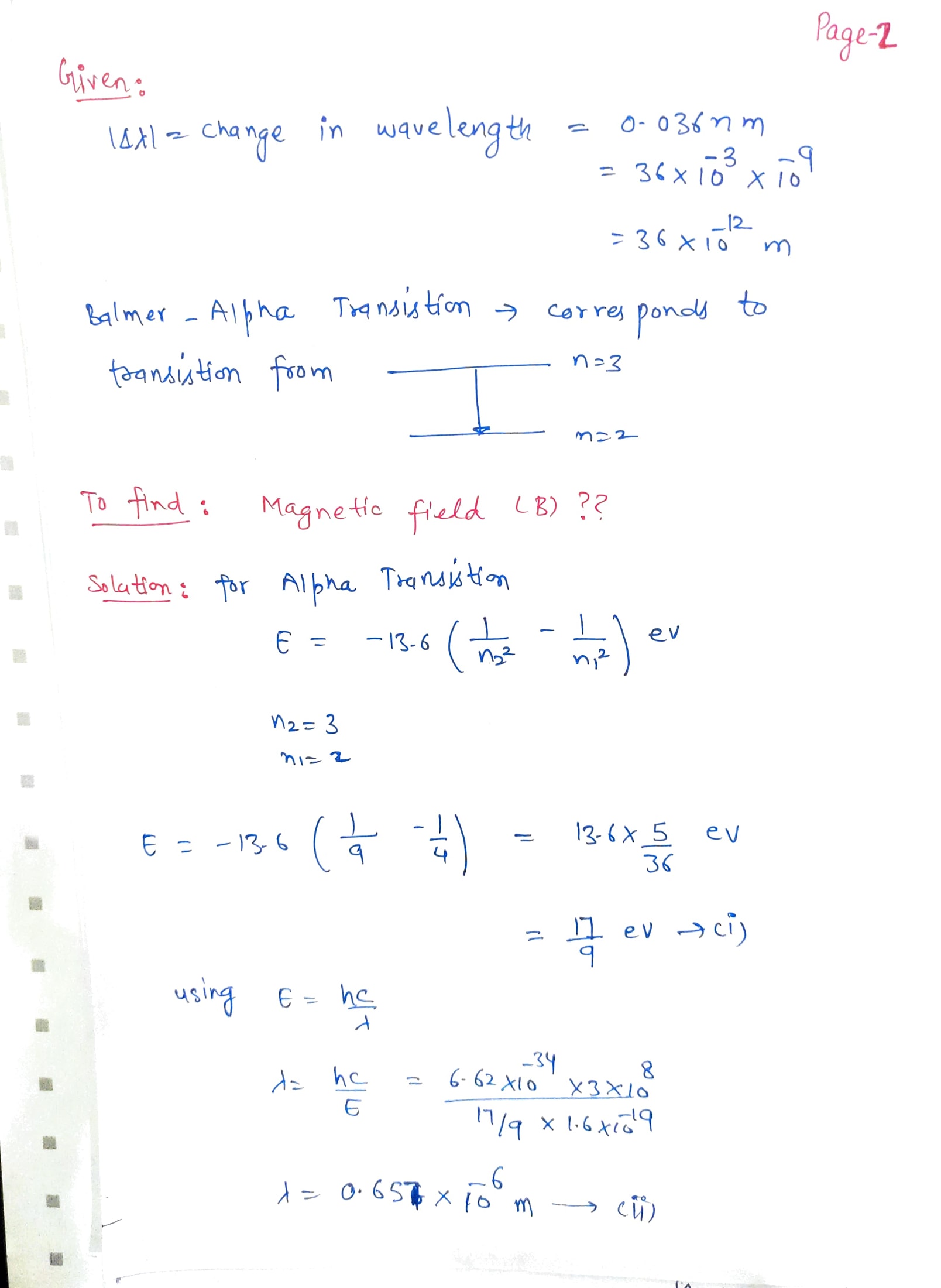
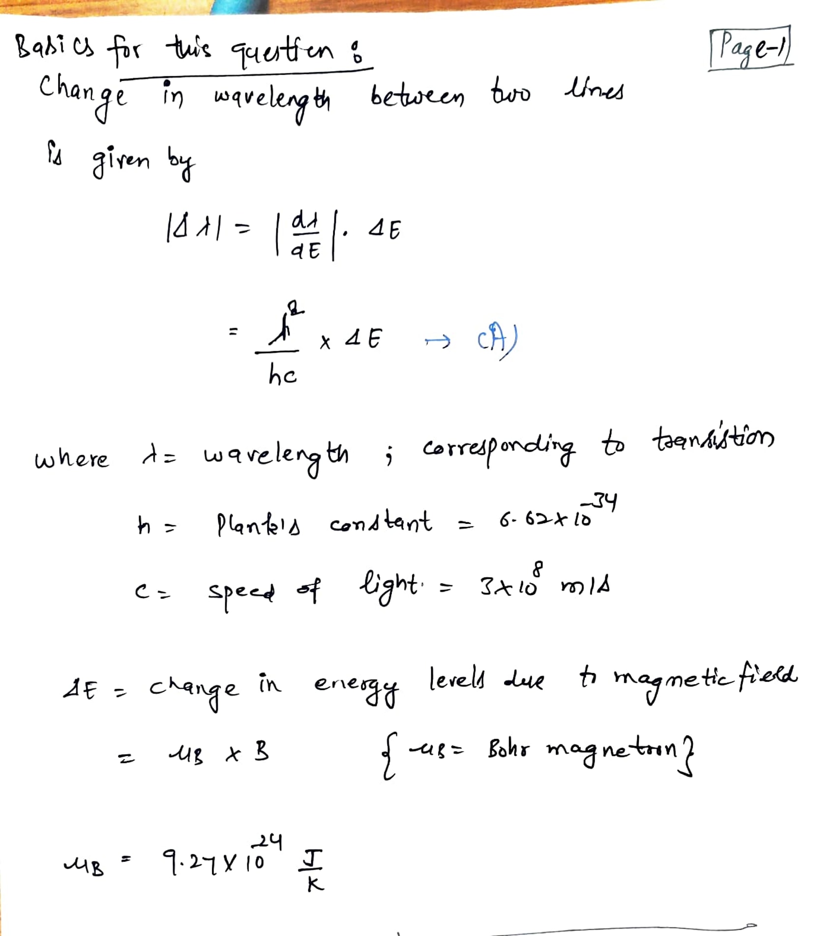
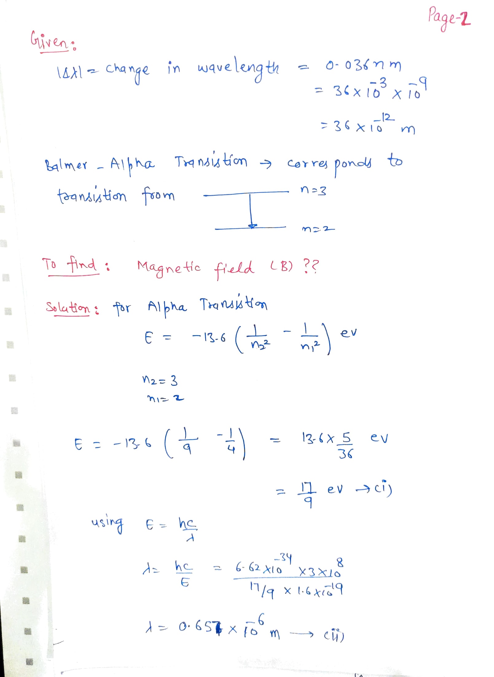
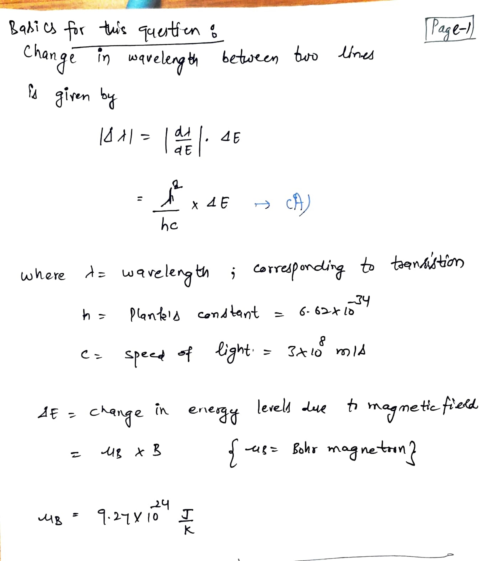
The Balrner-alpha line is observed to split into three spectral lines when placed in an external magnetic field. One of these lines has the same wavelength as the original line and the other two differ from the original line by an amount lA/ll = 0.036 nm. Determine the value of the magnetic field (in T) that would cause this wavelength difference. (Enter the magnitude.) ET Page 3 lying ci) and cil) in (A) we have 41 1 = 1 x 46 he 1 6 = change in energy level due to Magnetic field = 48 X B = 9.27 X 10 24 J / T 14AI = $ 2 X MB X B be B- he x |411 1 2 putting all values UB -34 8 = 6-62X10 X 3X10 - 12 X 36x10 (0 - 657 x 50 6 ) 2 9.27 x 124 = 178-6 X 10 2 B = 1. 786 T An so Hence magnitude of magnetic field = 1-786 T 4 1 . 79 T AnsoPage - 2 Given : latl = change in wavelength = 0-036 mm = 36 x 10 X 10 9 - 12 = 36x 10 m Balmer- Alpha Transistion corresponds to transistion from n = 3 m = 2 To find : Magnetic field ( B) ? ? Solution: for Alpha Transition E = - 13-6 ev n , 2 n2 = 3 n1= 2 E = - 13-6 9 = 13 - 6 x 5 ev 36 = 1 1 ev - cil using E = he - 34 1= he = 6-62 X10 X3X10 8 E 17/ q x 1. 6 x109 1 = 0. 657 x 10 m 6 - cli)Basics for this question . Page-1) Change in wavelength between two lines is given by 4E * 4E CH ) he where A= wavelength ; corresponding to transistion h = plantald constant = 6-62+ 10 - 34 ( = speed of light. = 3X10 mold HE = change in energy by levels due to magnetic field us = Bohr magnetoon? MB = 9. 27X 10 K
Step by Step Solution
There are 3 Steps involved in it
Get step-by-step solutions from verified subject matter experts
