Question: The Bernoulli distribution models a single experiment with two outcomes. Namely, it has one parameter ?, and takes value 1 with probability ? and takes
The Bernoulli distribution models a single experiment with two outcomes. Namely, it has one parameter ?, and takes value 1 with probability ? and takes value 0 with probability 1 ? ?. For example, if you are modeling whether or not a single customer will purchase a product, and that individual has purchase probability ?, then you can model her purchasing decision as a Bernoulli random variable. Let X be a random variable that follows a Bernoulli distribution with success probability ?. Answer the following questions and show all work, explaining each step.
a. What are the possible values that X can take? This is called the support of the random variable.
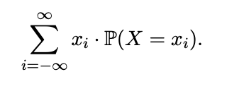
b. What is the expected value of X? Show all work, by explaining how to calculate .


\f\f
Step by Step Solution
There are 3 Steps involved in it
Get step-by-step solutions from verified subject matter experts
