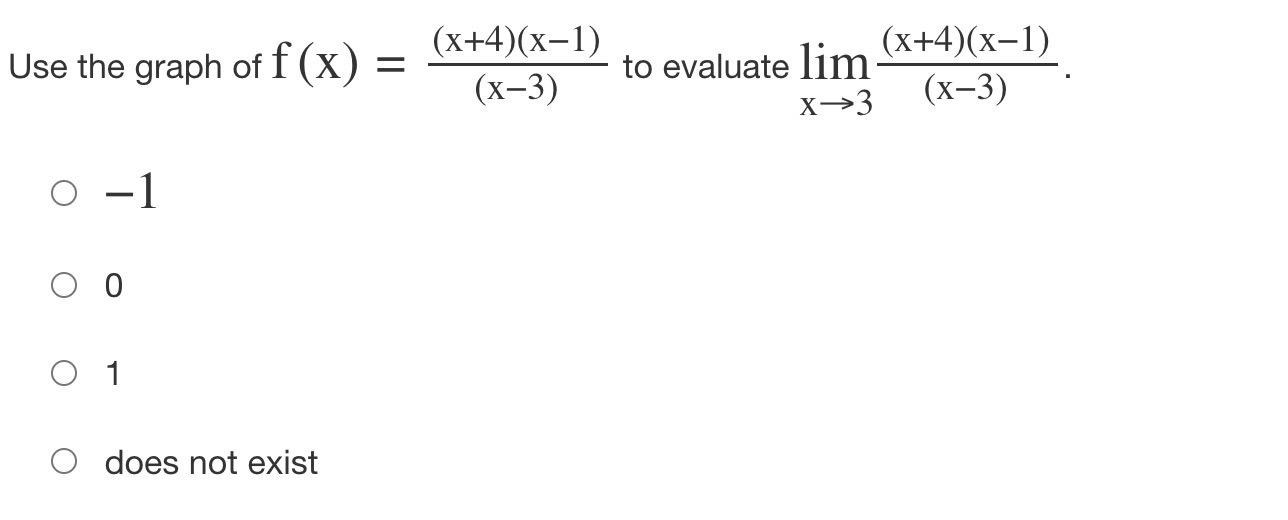
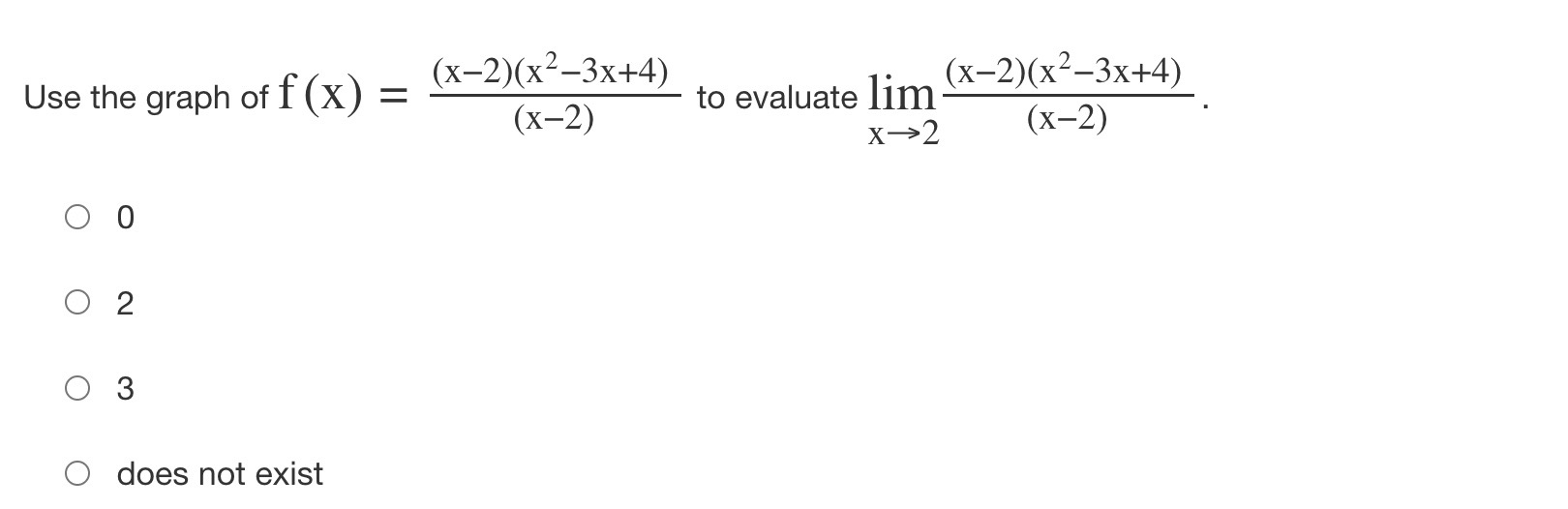
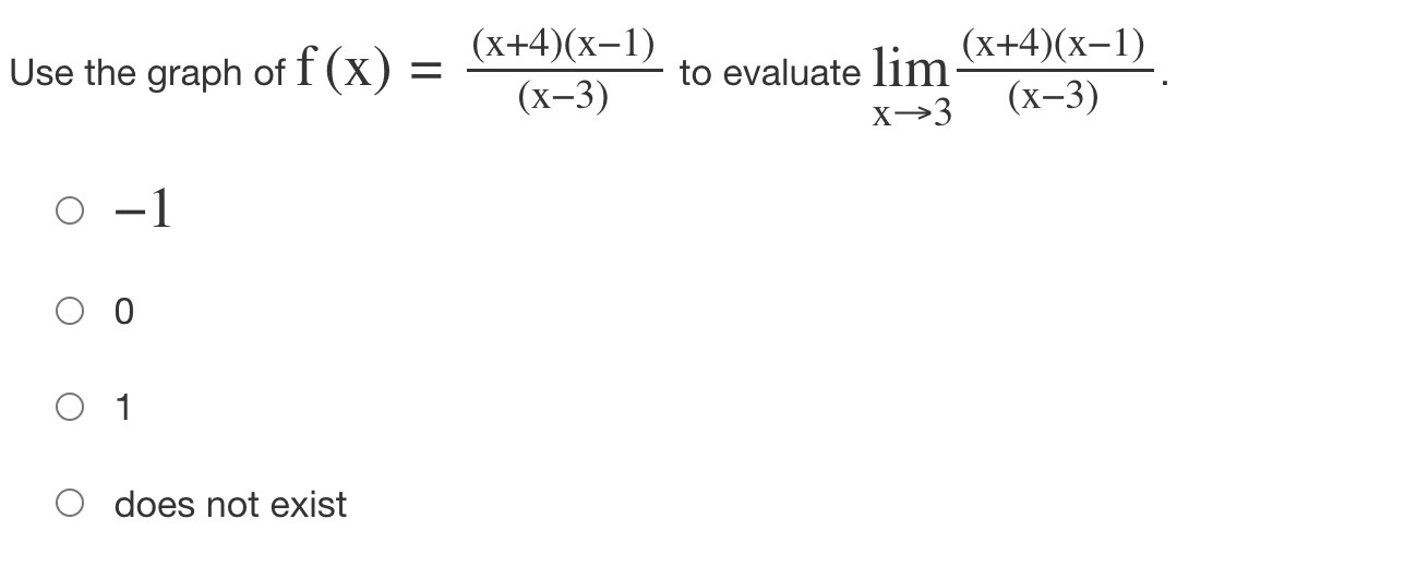
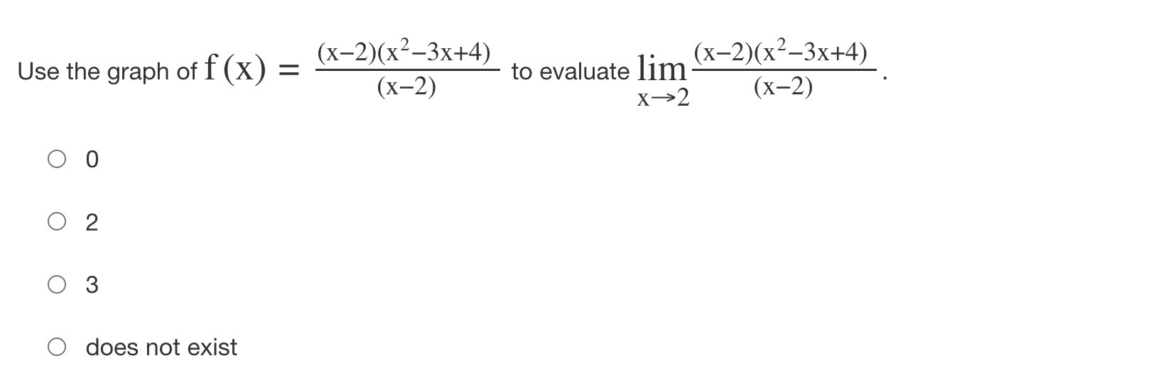
Question: The function values for 1 (X ) near x = 1 are given in the table below. X 0.9 0.99 0.999 T 1.001 1.01 1














The function values for 1 (X ) near x = 1 are given in the table below. X 0.9 0.99 0.999 T 1.001 1.01 1 .1 f (x) 4.40 4.25 4.02 5.00 3.98 3.75 3.60 Use the table of values to evaluate limf (x) . X-1 O 1 0 4 0 5 O Does not exist\fWhere does the limit not exist on the graph shown? y 0 X = 2 0 Limit exists everywhere 0 x = 0 Ox=1 \fThe function values for g(X ) near x = 3 are given in the table below. X 2.90 2.95 2.99 3 3.01 3.05 3.10 g (x) 2.8 2.9 2.6 2.45 2.75 2.5 2.6 Use the table of values to evaluate limg(x) X-3 O 2.6 O 2.75 O 2.8 O can not tell from the table\fThe function values for g(X) nearx = 2 are given in the table below. Iumw W Use the table of values to evaluate 11mg(x) . x>2 03 05 O6 Q Does not exist
Step by Step Solution
There are 3 Steps involved in it
Get step-by-step solutions from verified subject matter experts
