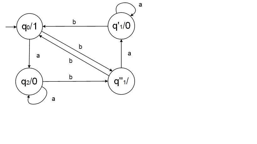
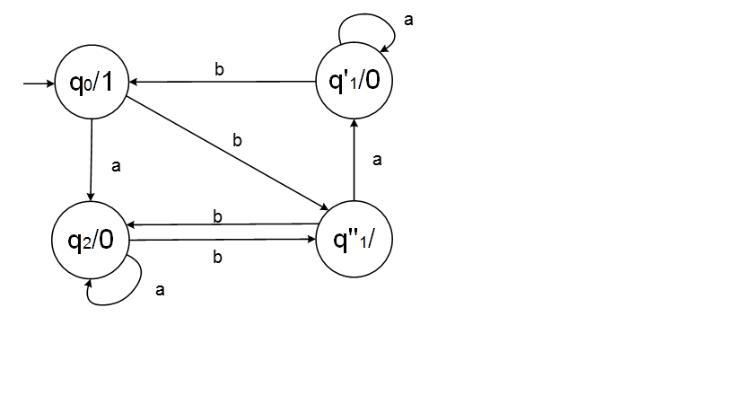
Question: The given Mealy machine must be converted to a Moore machine. Which one of the diagrams provided represents the required Moore machine? A B C
The given Mealy machine must be converted to a Moore machine. Which one of the diagrams provided represents the required Moore machine?

A

B

C

D

a/O b/1 qo q1 b/1 a/0 b/1 92 a/O a b qo/1 q'1/0 b a b q2/0 q"11 b b a a b qo/1 q'1/0 b a,b a b b q2/0 q"11 a b qo/1 q'1/0 b a a b b 02/0 q"1/ a b qo/1 q'1/0 b a a b 92/0 q"1/ b a
Step by Step Solution
There are 3 Steps involved in it
Get step-by-step solutions from verified subject matter experts
