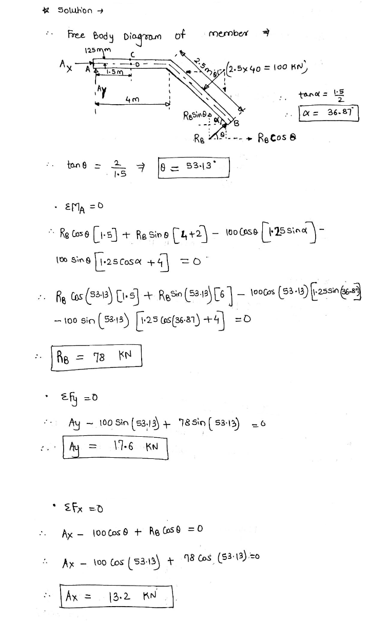
Question: The member shown in Fig. 8-5a has a rectangular cross section. Determine the state of stress that the loading produces at point C and

The member shown in Fig. 8-5a has a rectangular cross section. Determine the state of stress that the loading produces at point C and point D. -1.5 m C C 125 mm D D 125 mm 125 mm 50 mm 1.5 m 2.5 m 111 B 40 kN/m Solution Free Body Diagram 125mm C Ay tan = 1.5m 4m of member 2.5m 5x40 = 100 0 KN) tana = 15 19 Resinos = RB Recos Q 853.13' 1.5 36.87 . EMA = 0 RB RB .. -Re Case [1-5] + Ra Sine [4+2] - 100 (ase [+25 sina]- 100 Sing [1.25 cosa +4] = 0. Re Cas (58-13) [1-5] + RB Sin (58.13) [6] - 100Cos (53.13) [+255 (6 - 100 Sin (53.13) [1.25 (05(36.87) +4] =0 :. RB 78 KN .. fy =0 Ay Ay = 100 Sin (53.13) + 78 Sin (53.13) =0 17.6 KN .. : Fx =0 Ax Ax 100 Case + RB CO50 = 0 100 (05 (53.13) + 78 Cos (53.13). =0 .. Ax = 13.2 KN
Step by Step Solution
There are 3 Steps involved in it
Get step-by-step solutions from verified subject matter experts
