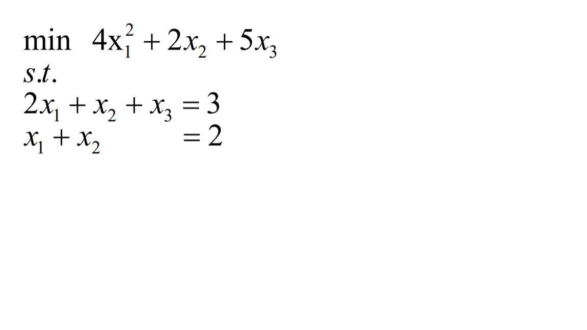
Question: The optimal nonlinear programming models given below Determine the solution using the Lagrange Multipliers method. The solution is optimal show. min 4x + 2x2 +
The optimal nonlinear programming models given below Determine the solution using the Lagrange Multipliers method. The solution is optimal show.
Step by Step Solution
There are 3 Steps involved in it
Get step-by-step solutions from verified subject matter experts
