Question: The programming language is MATLAB The data is the table below Nested Loops 9.17 In the previous chapter, the water elevation data for Lake Powell

The programming language is MATLAB
The data is the table below

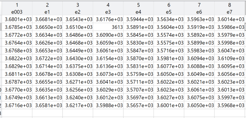
Nested Loops 9.17 In the previous chapter, the water elevation data for Lake Powell were evalu- ated using the find function. Repeat the calculations, using a nested loop structure. (a) Determine the average elevation of the water level for each year and for the eight-year period over which the data were collected. the eight-year period of the months that exceed the overall average. For example, June is (b) Determine how many months each year exceed the overall average for (c) Create a report that lists the month (number) and the year for each month 6. (d) Determine the average elevation of the water for each month for the eight-year period. 003 3.6801e+03 3.6681e+03 3.6543e+03 3.6176e+03 3.5944e+03 3.5634e+03 3.5963e+03 3.6014e+03 3.6785e+03 3.6650e+03 3.6510e+03 3.6772e+03 3.6634e+03 3.6486e+03 3.6090e+03 3.5845e+03 3.5574e+03 3.5892e+03 3.5979e+03 3.6764e+03 3.6626e+03 3.6468e+03 3.6059e+03 3.5830e+033.5575e+03 3.5899e+03 3.5998e+03 3.6768e+03 3.6653e+03 3.6449e+03 3.6061e+03 3.5847e+03 3.5716e+03 3.5983e+03 3.6047e+03 3.6822e+03 3.6722e+03 3.6430e+03 3.6154e+03 3.5870e+033.5981e+03 3.6094e+033.6109e+03 3.6829e+03 3.6714e+03 3.6375e+03 3.6136e+03 3.5831e+03 3.6077e+03 3.6088e+03 3.6095e+03 3.6811e+03 3.6678e+03 3.6308e+03 3.6073e+03 3.5759e+03 3.6050e+03 3.6049e+03 3.6056e+03 3.6787e+03 3.6655e+03 3.6271e+033.6041e+03 3.5711e+03 3.6022e+03 3.6021e+03 3.6023e+03 3.6770e+03 3.6635e+03 3.6256e+03 3.6029e+03 3.5707e+03 3.6023e+03 3.6061e+03 3.6013e+03 3.6749e+03 3.6613e+03 3.6240e+03 3.6012e+03 3.5697e+03 3.6027e+03 3.6075e+03 3.5997e+03 3.6716e+03 3.6581e+03 3.6217e+03 3.5988e+03 3.5657e+03 3.6001e+03 3.6050e+03 3.5968e+03 ! 3613 3.589|+03 3.5604+03 3.59 1 9+03 3.5986+03 38e-03 3.6468e+03 3.803084+03 3.5574e0
Step by Step Solution
There are 3 Steps involved in it
Get step-by-step solutions from verified subject matter experts
