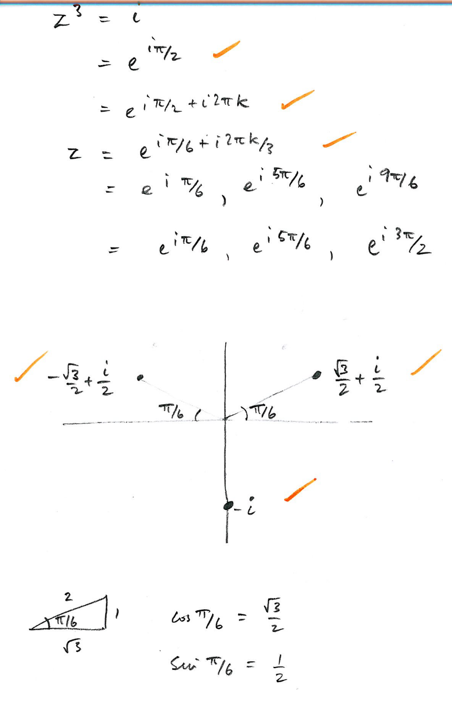
Question: The question and answer are attached. can you please explain why this is the answer f9. Find all solutions 3 to the equation 23 =
The question and answer are attached. can you please explain why this is the answer


\f9. Find all solutions 3 to the equation 23 = i. Express the solutions in the form (I: I y, and plot on an Argand diagram. [10 Marks]
Step by Step Solution
There are 3 Steps involved in it
Get step-by-step solutions from verified subject matter experts
