Question: The standard Legendre polynomials, defined in the interval [1,1] are not normalized by the scalar product, but instead by setting P n (1)=1They are given
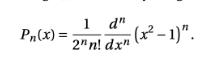
The standard Legendre polynomials, defined in the interval [−1,1] are not normalized by the scalar product, but instead by setting P n (1)=1They are given by Rodriguez' formula

n≥1 i) By using this formula demonstrate that the first three polynomials are:

Pn(x) = 1 d 2 m! dxn(x - 1). Po(x) = 1, P(x) = x, P(x) = (3x-1).
Step by Step Solution
★★★★★
3.40 Rating (162 Votes )
There are 3 Steps involved in it
1 Expert Approved Answer
Step: 1 Unlock
Chriven Px putting P x putting 1 2 ... View full answer
Question Has Been Solved by an Expert!
Get step-by-step solutions from verified subject matter experts
Step: 2 Unlock
Step: 3 Unlock
