Question: The string shown is subjected to a distributed pressure given by Assuming no damping, determine the responses of the first three modes at the point
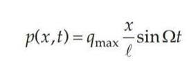
The string shown is subjected to a distributed pressure given by
Assuming no damping, determine the responses of the first three modes at the point x = 2l/3. Plot them in non dimensional form on a single graph having Q/w, as the abscissa. If any modes are not excited, explain physically why this should be.
X p(x, t)=qmax sin t l
Step by Step Solution
3.51 Rating (158 Votes )
There are 3 Steps involved in it
Consider d 0 dx Cis coU ... View full answer
Get step-by-step solutions from verified subject matter experts
