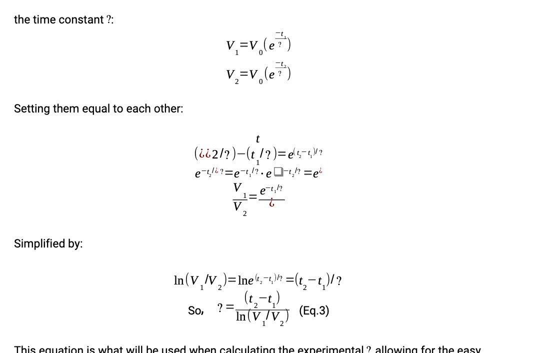
Question: the time constant ?: V =V (e ? ) V, = V (e? ) Setting them equal to each other: t ( 862/ ? )

the time constant ?: V =V (e ? ) V, = V (e? ) Setting them equal to each other: t ( 862/ ? ) - (t /? ) = el5 - 5 / ? eth=eth. eO-th=e V _eth V 2 Simplified by: In (V /v )= Ineltz -t,)/? =(t, -t)/? (t, -t ) So, ?= In (V / V ) (Eq.3) This equation is what will be used when calculating the experimental ? allowing for the easy
Step by Step Solution
There are 3 Steps involved in it
Get step-by-step solutions from verified subject matter experts
