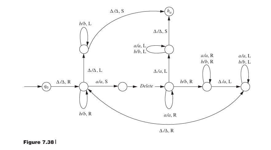
Question: The TM shown in Figure 7 . 3 8 computes a function from { a , b } to { a , b } .
The TM shown in Figure computes a function from ab to ab For any string x in ab describe the string fx
Figure
Step by Step Solution
There are 3 Steps involved in it
1 Expert Approved Answer
Step: 1 Unlock
Question Has Been Solved by an Expert!
Get step-by-step solutions from verified subject matter experts
Step: 2 Unlock
Step: 3 Unlock
