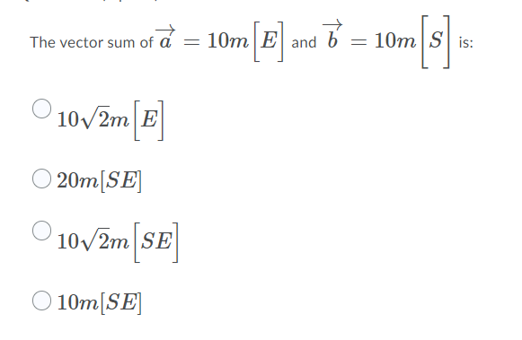
Question: The vector sum of a = 10m E and b = 10m is : O 10/2m E O 20m [SE] O 102m SE O10m [SE]d

![10m is : O 10\\/2m E O 20m [SE] O 10\\2m SE](https://s3.amazonaws.com/si.experts.images/answers/2024/06/667d89a7ec117_271667d89a7dbd84.jpg)
![O10m [SE]d = 100km $30 W is: The algebraic form of the](https://s3.amazonaws.com/si.experts.images/answers/2024/06/667d89a844635_272667d89a82b557.jpg)



The vector sum of a = 10m E and b = 10m is : O 10\\/2m E O 20m [SE] O 10\\2m SE O10m [SE]d = 100km $30 W is: The algebraic form of the vector O 50km, - 50v3km = -50v3km, - 50km O = -50km, 50v3km O = 50km, - 50V3km
Step by Step Solution
There are 3 Steps involved in it
Get step-by-step solutions from verified subject matter experts
