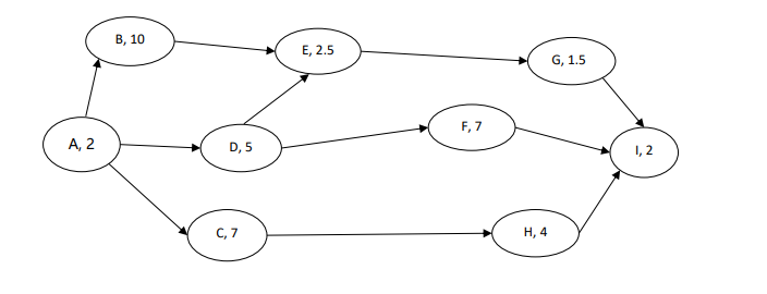
Question: the weekly crash cost b = 2 5 c = 5 0 e = 4 0 f = 1 0 i = 3 0 crash
the weekly crash cost
b
c
e
f
i
crash time
b
c
e
f
i
the project takes weeks to complete. if i want to shorten it to weekshow can i achieve this goal at minimum cost. please show crashing steps.
Step by Step Solution
There are 3 Steps involved in it
1 Expert Approved Answer
Step: 1 Unlock
Question Has Been Solved by an Expert!
Get step-by-step solutions from verified subject matter experts
Step: 2 Unlock
Step: 3 Unlock
