Question: These are just a few practice problems, please help Choose one or more of the answer options provided in the questions below. The angular nodes








These are just a few practice problems, please help
Choose one or more of the answer options provided in the questions below.











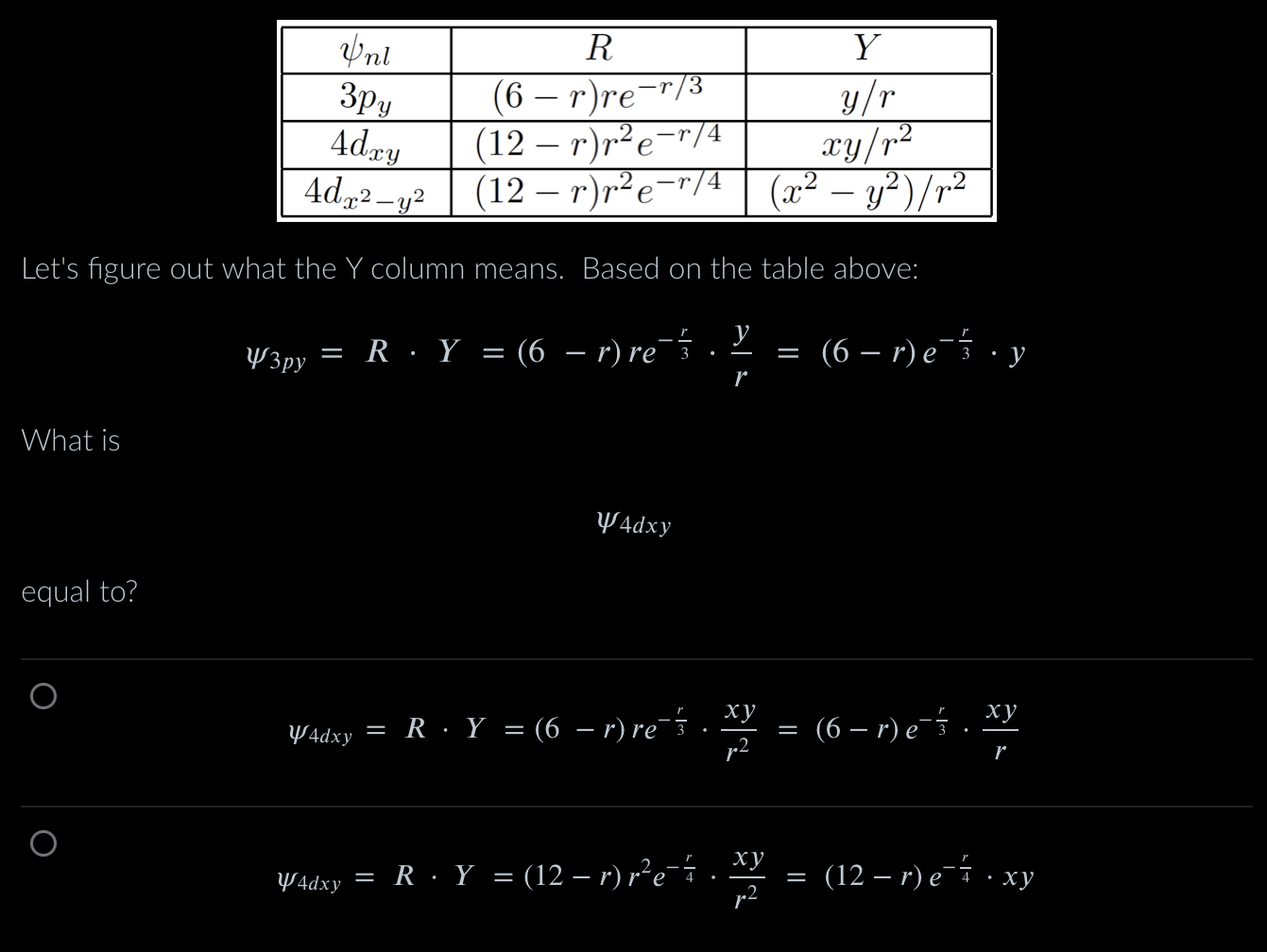
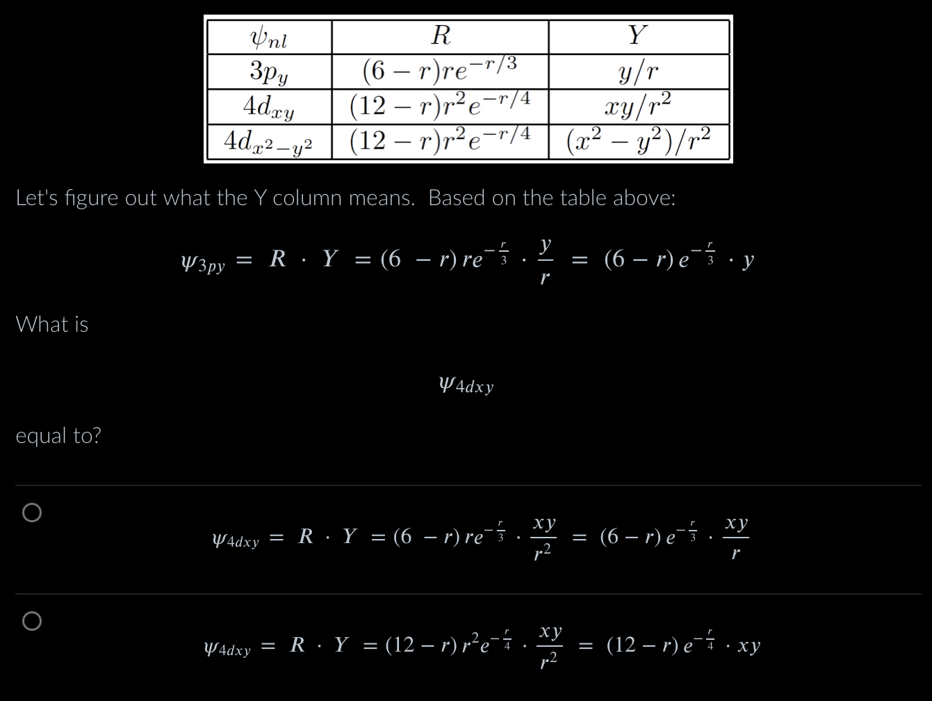
The angular nodes occur when the Y function = 0. If Y = the function equals O when y =0 (The angular nodes never depend on r Where are the nodes for Y = . V HINT: Select the two correct answers. O X=0 Oy=0 O y=2 O X=2Where are the angular nodes for V Y = r2 HINT: Select the two correct answers. O X=y O X-y O X=0 Oy=0\fUnl R Y 3py ( 6-r)re-r/3 yr 4dxy (12 -r)re-r/4 xy/r2 4dx2-72 (12 - r)re-r/4 (202 - 22)/12 Let's figure out what the Y column means. Based on the table above: V3py = R . Y = ( 6 - r) re-3 . _ = (6 -re 3 . y r What is 74dxy equal to? O WAdxy = R . Y = (6 - r) re-s . xy =(6 -r)es . xy r O V4dxy = R . Y = (12 -r)re- i . _ = (12 -r)e 7 . xyThe Schrodinger's Equation, Hy = Ev, is an example of an operator equation. When the energy operator H (for Hamiltonian) is applied to a solution of the equation (), the result is the energy of the wave, E, times the original v. For an electron in an atom with Z protons, H = HK + Hp = = v2 +kle(Z9p) 87 2 me where HK, HP, and V2 are respectively the kinetic energy Hamiltonian, the potential energy Hamiltonian, and the curvature-measuring operator. A further introduction to this equation and its y solutions are provided in Course Handout 1. Select the answer that has the largest constant curvature. O C O O O O O,2 -r_ The function of tho followihg graph is R=E12 r)r2o The R function for an orbital is: R : (5W0 r3 Which orbital might this be? If this is an Rir) plot. what orbital is this graph for? Match each function to the corresponding graph. y 1.0 0.5 [ Select ] -1.0 -0.5 0.5 -0.5 -1.0 1.0 0.8 0.6 [ Select ] 100 8 8 8 8 [ Select ] 0 5 10 15 20 State how many nodes (roots) each graph has: (Disregard any possible node (root) at the origin or at infinity). 1.0 -0.5 0.5 1.0 1.5 2.0 2.5" -0.5 -1.0 20 10 20 30 50 -20Lowercase p stands tor momentum and x stands for position. Can you know the momentum and position of a particle simultaneously with perfect accuracy? Yes. they can be known simultaneously virith periect accuracy 0 No' they can not be known simultaneously with periect accuracy where A refers to the uncertaintitv in a given physical quantity. By 1927. Heisenberg put forward his converse statement, the Uncertainty Principle: pairs of physical quantities exist for which, in all cases, a limit is reached beyond which their values can not be simultaneously determined: h ".172 where A refers to the uncertaintity in a given physical quantity. By 1927. Heisenberg put forward his converse statement, the Uncertainty Principle: pairs of physical quantities exist for which, in all cases, a limit is reached beyond which their values can not be simultaneously determined: ApAa: Z i. ~17? If the uncertainty in momentum is .5 m, What is the minimum uncertainty in position? radial node 3Py Unl R Y 3pu (6-r)re-r/3 yr Adry (12 - r)re-r/4 xy/r2 4dx2-y2 (12 - r)re-r/4 (2 2 - y2)/12 angular node 43py = R . Y = (6 - r) re- 3 . _ = ( 6 -r) e-3 . y The R function, (6 - r) re- 3 equals zero when r equals [ Select ] . The V [ Select ] O function node, the radial no 6 The O 6 function, equals zero when equals [ Select ] C The Y function node, the angular node, forms a [ Select ]radial node 3py Unl R Y 3py (6-r)re-r/3 yr 4dry (12 -r)re-r/4 cy/r2 4dx2-72 (12 -r)re-r/4 (2 2 - y2)/12 angular node V3py = R . Y = (6 - r) re- 3 . _ = ( 6 -re 3 . y The R function, (6 - r) re-3 equals zero when r equals [ Select ] The R function node, the radial node, forms a [ Select ] The V [ Select ] line or plane function, circle or sphere , equals zero when equals [ Select ] C The Y function node, the angular node, forms a [ Select ]radial node 3py Unl R Y 3py (6-r)re-r/3 yr Adry (12 -r)re-r/4 xy/r2 4dx2-y2 (12 -r)re-r/4 (202 - 22) /12 angular node 43py = R . Y = (6 - r) re- 3 . _ = ( 6 -re-3 . y The R function, (6 - r) re- 3 equals zero when r equals [ Select ] . The R function node, the radial node, forms a [ Select ] The Y function, , equals zero when equals [ Select ] C The [ Select ] Y O function Select ] C 6
Step by Step Solution
There are 3 Steps involved in it
Get step-by-step solutions from verified subject matter experts
