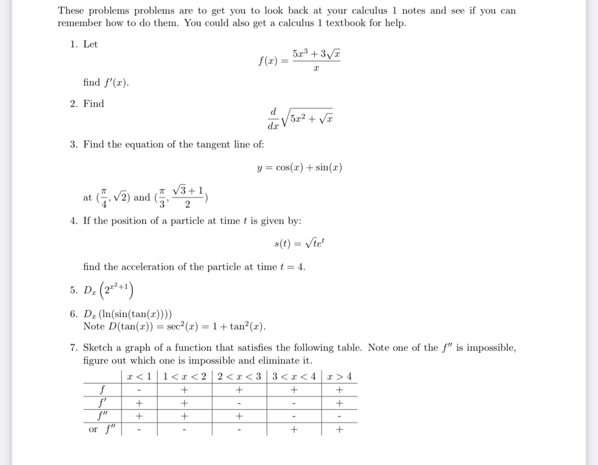
Question: These problems problems are to get you to look back at your calculus 1 notes and see if you can remember how to do them.
These problems problems are to get you to look back at your calculus notes and see if you can remember how to do them. You could also get a calculus textbook for help.
Let
find
Find
Find the equation of the tangent line of:
at and
If the position of a particle at time is given by:
find the acceleration of the particle at time
Note
Sketch a graph of a function that satisfies the following table. Note one of the is impossible, figure out which one is impossible and eliminate it
table
Step by Step Solution
There are 3 Steps involved in it
1 Expert Approved Answer
Step: 1 Unlock
Question Has Been Solved by an Expert!
Get step-by-step solutions from verified subject matter experts
Step: 2 Unlock
Step: 3 Unlock
