Question: This Group Assignment is centred on the topic Product Costing, which covers Job Costing & Process Costing. You are required to work in your sub-groups



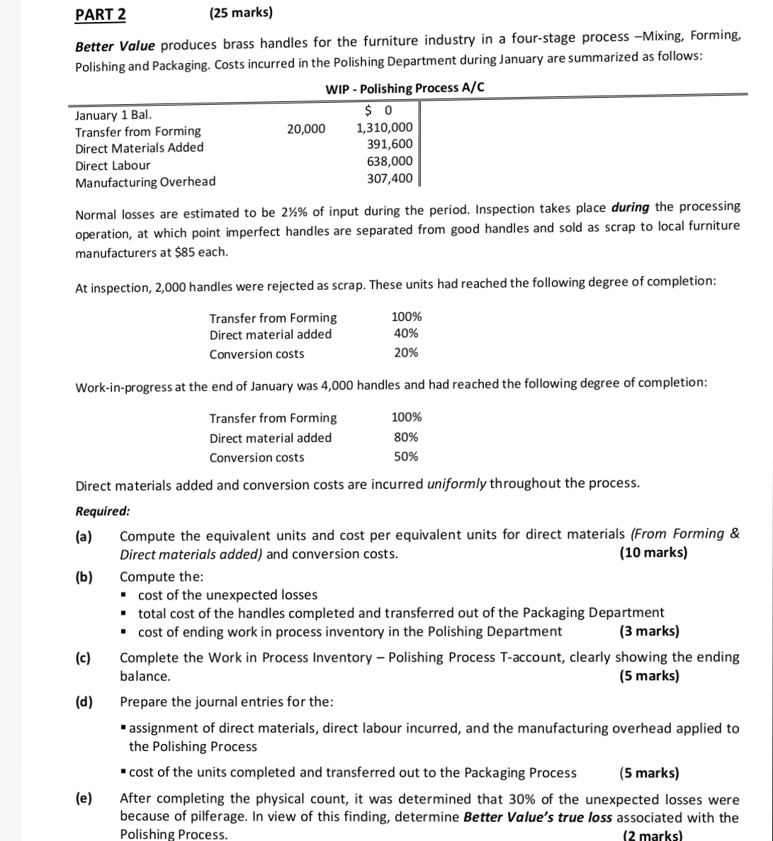
This Group Assignment is centred on the topic "Product Costing", which covers Job Costing \& Process Costing. You are required to work in your sub-groups and apply the concepts learnt in solving the problems given. The assignment seeks to examine the following selected course objectives: 1) Use estimates to determine pre-determined manufacturing overhead rates 2) State the journal entries necessary to record direct materials used, direct labour incurred, and manufacturing overheads incurred \& applied in a JC system. 3) Account for the completion and sale of jobs, in a perpetual JC system 4) Dispose of any manufacturing overhead variance, assuming the variance is immaterial. 5) Prepare a statement of equivalent production, clearly showing the cost per unit by cost elements. 6) Value units completed, unexpected losses and ending WIP. 7) Determine the true loss of a manufacturing entity. You are required to submit this assignment by Friday, November 10, 2023, by 11:55 p.m. E.C. Time. This GROUP assignment will account for 30% of your overall mark. You are required to show ALL workings where necessary. Kirpalani Stores manufactures customized household furnishings. The company uses a perpetual inventory system and has a highly labour-intensive production process, so it assigns manufacturing overhead based on direct labour cost. Kirpalani expects to incur $2,205,000 of manufacturing overhead costs and estimated direct labour costs of $3,150,000 during 2019. At the end of December 2018, Kirpalani reported work in process inventory (Job 551) of $93,000 The following events occurred during January 2019. i) Purchased materials on account, $392,000. ii) Incurred manufacturing wages of $400,000 iii) Requisitioned direct materials and used direct labour in manufacturing. iv) Issued indirect materials to production, $30,000. v) Charged indirect manufacturing wages to production, $60,000. vi) Depreciation of production machinery, $85,000 vii) Other manufacturing overhead costs incurred on units 551 to 554 amounted to $49,000. viii) Allocated overheads to jobs at the predetermined rate ix) Units completed: 551, 552 \& 554. x) Sold units 551 \& 554 (billed customers at a margin of 3331% on sales) Required: (a) Compute Kirpalani's predetermined manufacturing overhead rate for 2019. (112 marks) (b) Calculate the total manufacturing costs for each job. (4 121 marks) (c) Using the total figures, record the above transactions in the general journal. (91/2 marks) (d) Post the manufacturing overhead transactions to the Manufacturing Overhead T-account, clearly showing the balance before closing the account. State the journal entries necessary to dispose of the variance. Assume that the manufacturing overhead variance is immaterial. (3 marks) (e) What is the balance in the Cost of Goods Sold account after the adjustment? (2 marks) (f) Compute Kirpalani's gross profit earned on the jobs, after adjusting for the manufacturing overhead variance (2 marks) (g) Post the appropriate entries to Work in Process Inventory Control account \& determine the account balance on January 31 . (21 marks) PART 2 (25 marks) Better Value produces brass handles for the furniture industry in a four-stage process -Mixing, Forming, Polishing and Packaging. Costs incurred in the Polishing Department during January are summarized as follows: Normal losses are estimated to be 221% of input during the period. Inspection takes place during the processing operation, at which point imperfect handles are separated from good handles and sold as scrap to local furniture manufacturers at $85 each. At inspection, 2,000 handles were rejected as scrap. These units had reached the following degree of completion: Work-in-progress at the end of January was 4,000 handles and had reached the following degree of completion: Direct materials added and conversion costs are incurred uniformly throughout the process. Required: (a) Compute the equivalent units and cost per equivalent units for direct materials (From Forming \& Direct materials added) and conversion costs. (10 marks) (b) Compute the: - cost of the unexpected losses - total cost of the handles completed and transferred out of the Packaging Department - cost of ending work in process inventory in the Polishing Department (3 marks) (c) Complete the Work in Process Inventory - Polishing Process T-account, clearly showing the ending balance. (5 marks) (d) Prepare the journal entries for the: - assignment of direct materials, direct labour incurred, and the manufacturing overhead applied to the Polishing Process - cost of the units completed and transferred out to the Packaging Process (5 marks) (e) After completing the physical count, it was determined that 30% of the unexpected losses were because of pilferage. In view of this finding, determine Better Value's true loss associated with the Polishing Process. (2 marks)
Step by Step Solution
There are 3 Steps involved in it
Get step-by-step solutions from verified subject matter experts
