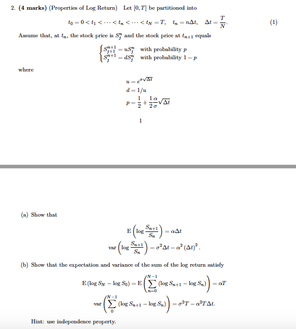
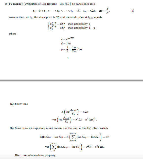
Question: This is a question from course cs 335. Can you help me solve this question? 2. (4 marks) (Properties of Log Return) Let [0, T']

This is a question from course cs 335.
Can you help me solve this question?

2. (4 marks) (Properties of Log Return) Let [0, T'] be partitioned into to = 0
Step by Step Solution
There are 3 Steps involved in it
Get step-by-step solutions from verified subject matter experts
