Question: This is about Differentiation equation - Separation of variable. Please provide step by step solution and read question carefully. 1. Find the particular solution of
This is about Differentiation equation - Separation of variable. Please provide step by step solution and read question carefully.
1.










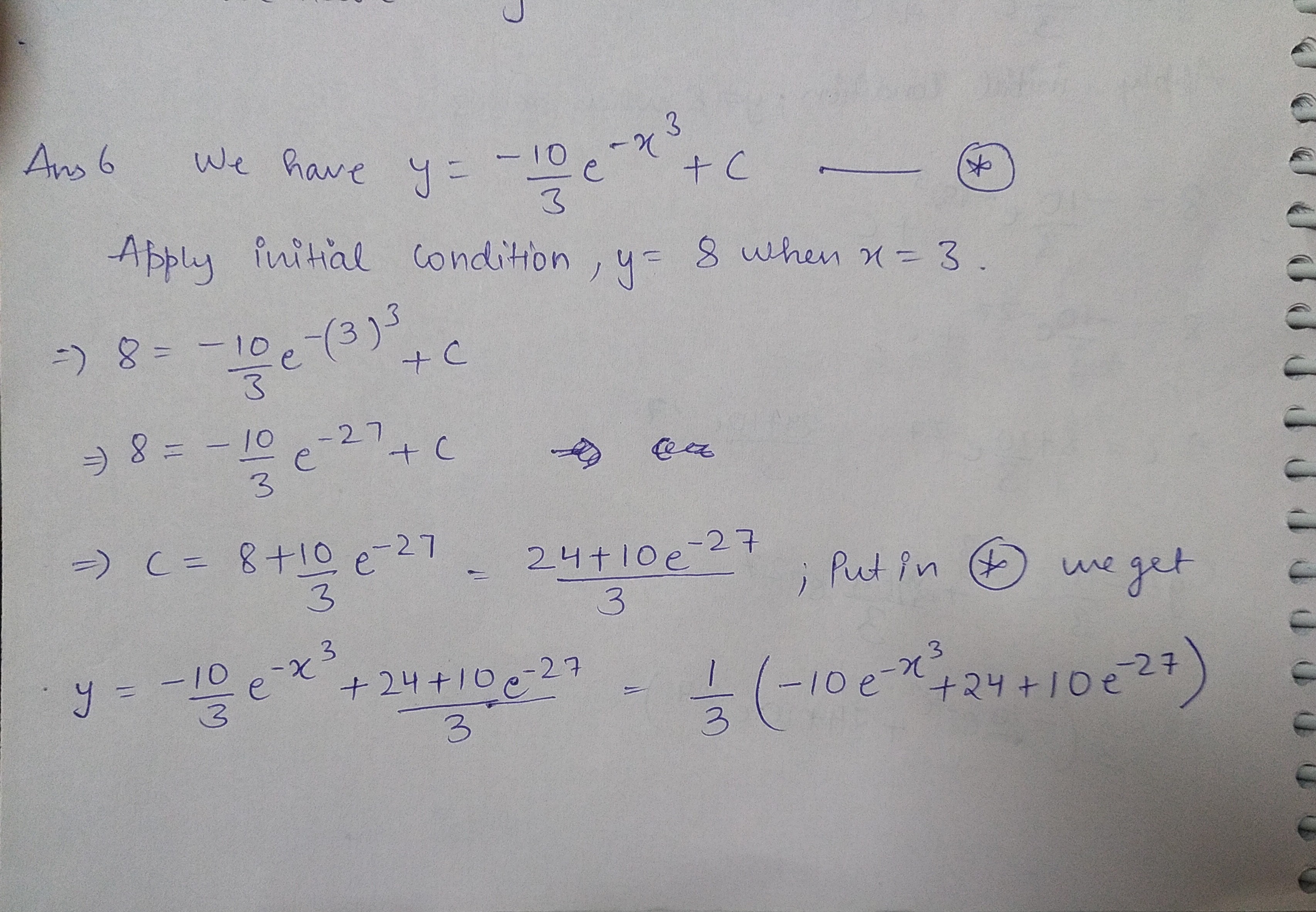
Find the particular solution of the given differential equation dy 92-4 2 2 , y =2 when x = 1. dxFind the particular solution of the differential equation dy 6 + 1 dz 4y2 such that y = 5 when z = 0. Find the particular solution of the given differential equation dy = 10xey-22 y =8 when x = 1. dac Note: zaz6 = zatbFind the general solution of the following differential equation: dy = 7e-8t-y dtFind the particular solution of the equation. dy at + y sint = 0, y(7) = 8Consider the following initial value problem: d 3 d_y = 102% ", where y = 8 when z = 3. x The value of the integration constant, C, in the solution of y = f(m) is Consider the following initial value problem: dy 3 o= 10z%e*", where y = 8 when z = 3. L The value of the integration constant, C, in the solution of y = f(:c) is (10/3)"(eMN(-x"2)+e7(-27))+8 Reminders: 1) Do not use blank spaces ever. 2) Use the multiplication "*" and division "/" symbols correctly and consistently as needed. Submit Answer | Incorrect. Tries 12/99 Previous Tries Find the particular solution of the given differential equation dy 2 = = 10xe " ; y=28 when z=1. dx ' Note: z%z0 = zotb Yy = |5x"2+3 Hint: Remember exponential rules when separating the variables. Reminders: 1) Use the correct variable. 2) Do not use blank spaces ever. 3) Use the mt correctly and consistently as needed. Submit Answer | ' Incorrect. Tries 4/99 Previous Tries And 3 we have - ey= - 5p-20 + C Multiply both sides by - 1 e-y = 5 ex - C Apply Initial condition , y= 8 when n = 1 - ) e - 8 = 5 e- "- c = ) C = 5e' - e- 8 Put in e- y = 5 e-"_ 5e-'te Taking log Both sides we get to Inet = en ( 5ex - 5 e-' + e-8) - 4 = en (5e - * = sel + e - 8 ) 4 = - en (sen - 5e-'te-8 )And 6 we have y - - 10 - 23 3 + C Apply initial condition, y= 8 when n= 3. -) 8 = - 10- (3)3 3 + C - 8 = -10 p - 27 3 + C =) C = 8+10 - 27 3 - 24+10 p- 27 3 i Put in we get 4 = - 10 - 2 3 3 + 24+ 100- 27 3 3 - 10 e- 2 3 + 24 + 10 e- 27 )
Step by Step Solution
There are 3 Steps involved in it
Get step-by-step solutions from verified subject matter experts
