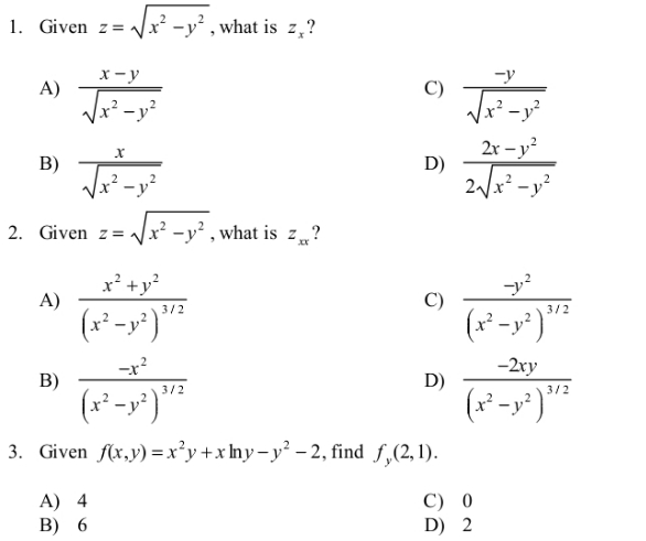
Question: This is in Differential Calculus. This is only multiple choice. Provide necessary solution for each items. Thank you and Godbless. 1. Given z= x-v ,
This is in Differential Calculus. This is only multiple choice. Provide necessary solution for each items. Thank you and Godbless.

1. Given z= x-v , what is z,? X - V -V A) C) X 2r - v B) D) 2 2x-12 2. Given z= Nx -y , what is z ? x-+12 A) C) -12)3/2 x2 - 12)3/2 -2ry B) D) 3/2 3/2 3. Given f(x,y) =xy+xly -y? -2, find f (2, 1). A) 4 O B) 6 D) 2
Step by Step Solution
There are 3 Steps involved in it
Get step-by-step solutions from verified subject matter experts
