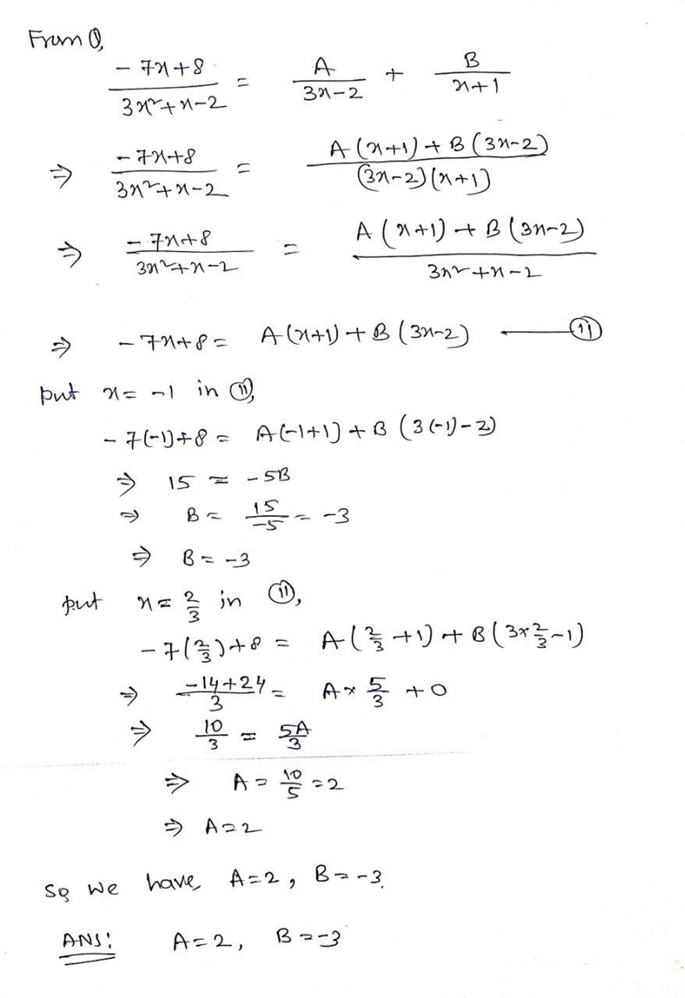
Question: This is not a question , these are the answer of my question, But these are in hand written answer, I need these answer in

This is not a question , these are the answer of my question, But these are in hand written answer, I need these answer in text

You just need to copy these answer and convert them into text

You just need to copy these answer and convert them into text

You just need to copy these answer and convert them into text

You just need to copy these answer and convert them into text

You just need to copy these answer and convert them into text

Answer 1

This is not a question , these are the answer ofThis is not a question , these are the answer ofThis is not a question , these are the answer ofThis is not a question , these are the answer ofThis is not a question , these are the answer ofThis is not a question , these are the answer of
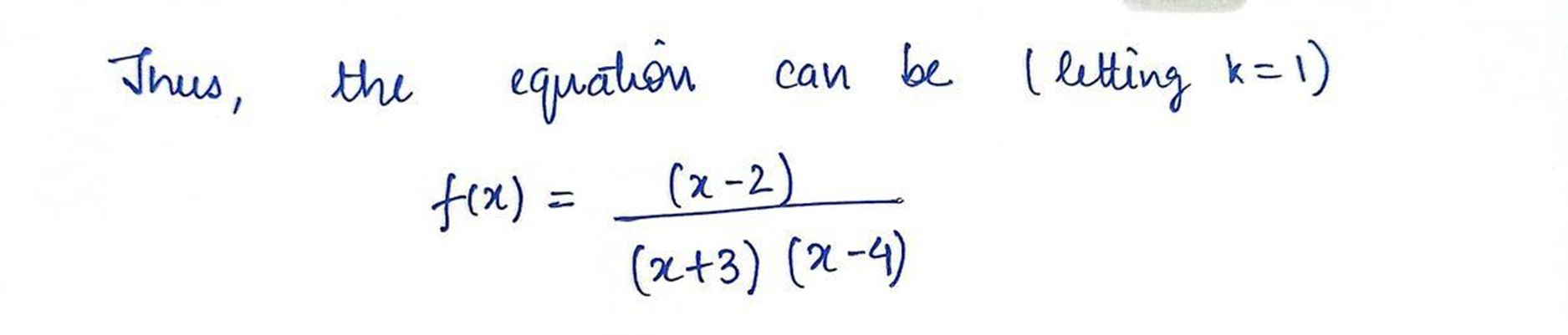
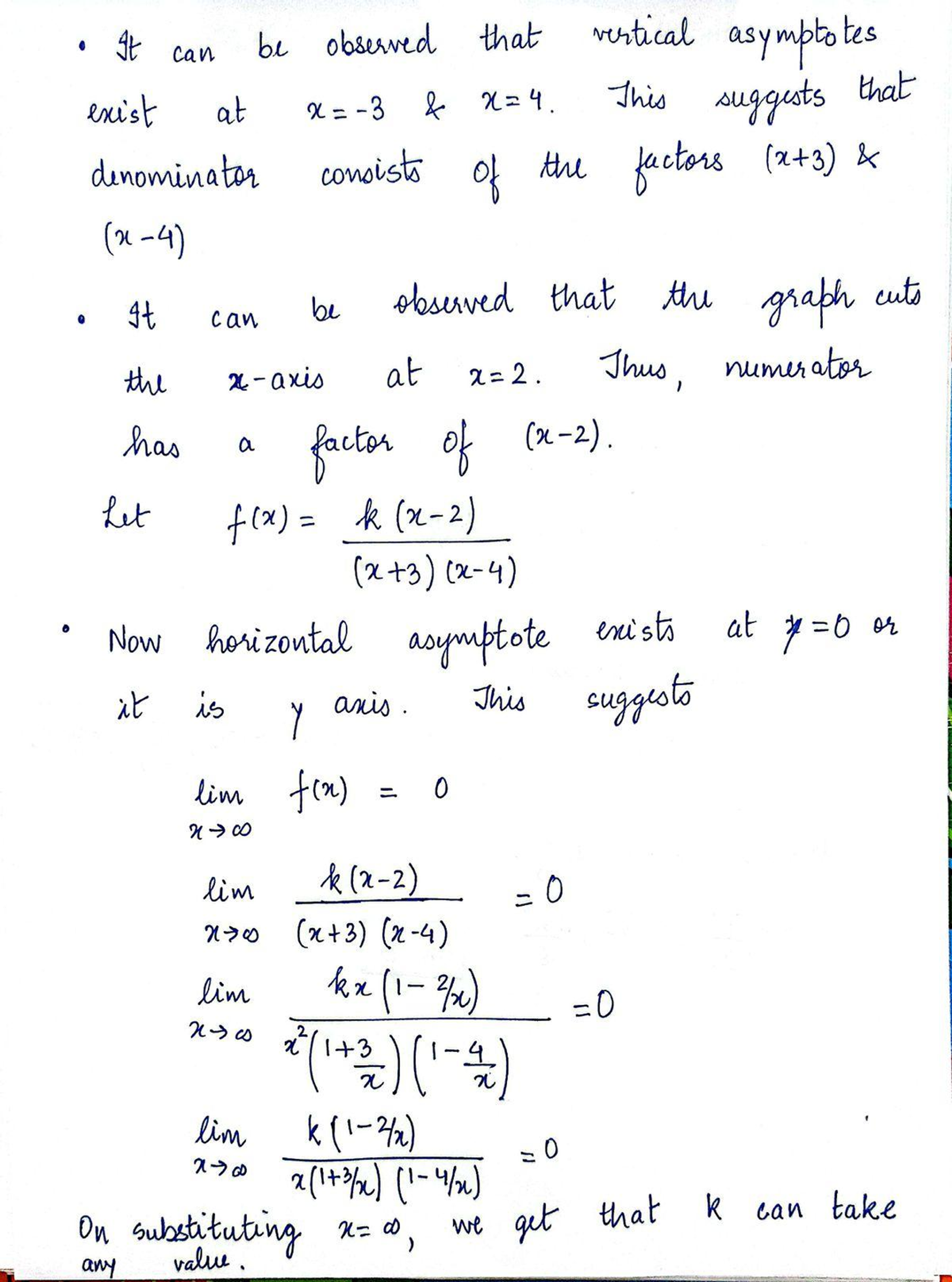
. it can be observed that vertical asymptotes exist at x = -3 8 2= 4 . This suggests that denominator consists of the factors ( 2 + 3 ) & ( 21 -4) . it can be observed that the graph cuts the 2 - axis at 2 = 2 . Thus , numerator has a factor of ( 2 - 2 ) . Let f ( x ) = 1 (2 - 2) (2+ 3) ( 2 - 4 ) Now horizontal asymptote exists at $= 0 or it is y anis . This suggests lim f ( 2 ) = 0 lim * ( 2 - 2 ) = 0 ( 2 + 3 ) ( 22 - 4 ) lim Rx ( 1 - 2/x) =0 2 / 1 + 3 lim k (1- 2/ 2) = 0 x (1+3 /26) (1 - 4/21) On substituting 2=0. we get that I can take any value\f\f\fStep 1 of 2:) Introduction: A matrix A is invertible if def ( A ) 7 0 Step 2 of 2:) Solution : Here A is a 3x 3 matrix such that ( A + I3 ) 2 = 0 -> ( A + 13 ) ( A + [3 ) = 0 => A . A + A . [3 + I; A + 13. 13 = 0 = > A 2 + A + A + 13 =0 -> A2 + 2 A = - I3 -> A ( A + 2 I3 ) = - Iz del SA ( A + 2 Is ) ] = det ( - 13 ) - det ( A ) det ( A+ 25 ; ) = ( 1) 3 ded Is -> ded ( D ) det ( A + 213 ) = - 1 ; [: del 13 = 1 ] -7 def ( A ) # 0 Hence A is invertible ( proved )13 . Let a random no. represents if that through was successful. We take 10 Shots ( 10 random no . ) as our paperiment and see if we with A win means we have more than 65 %% probability of experiment Experiment No of distinct shots Wlin ( y / N ) 52711.38889 ( 1 1 2 , 3 , 5 , 7 , 8 , 9 ) = 7 y ( 7 / 10 ) 2 . g 30 74 60 227 ( 2 , 3 , 4 1 6 , 7 1 9,0 ) = 7 y ( 7 / 10 ) 3 . 4001 185848 (1 4 , 5 , 8, 0) = 5 N ( 5 / 10 ) 4. 48 76 75 2573 ( 2 3 , 4 , 5 , 6 , 7, 8 ) = 7 y ( 7/ 10 ) Probability = 3/ 4 = 0.75 ( 3 success full experiments out of 4 )

Step by Step Solution

There are 3 Steps involved in it

1 Expert Approved Answer
Step: 1 Unlock blur-text-image
Question Has Been Solved by an Expert!

Get step-by-step solutions from verified subject matter experts

Step: 2 Unlock
Step: 3 Unlock

Students Have Also Explored These Related Mathematics Questions!