Question: this is Q 2000 $ is the capital amount and it will be invested according to certain processes. Discussed in the following items 1- find
this is Q
2000 $ is the capital amount and it will be invested according to certain processes. Discussed in the following items
1- find the monthly compound interest in order for the investment reaches to 2500$ after one year.
2- Find the weekly compound interest in order to the increasing value in the investment equals to 300 $ after 3 months. 3- Find the weekly compound interest in order to get the same investment result at the end of 4 months with a weekly simple interest of 5%. 4-Create a computational simulation for each previous item.
this is solution


I need the number 4 simulation by software not handle for each previous item.
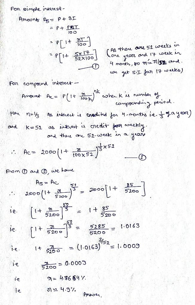
Fr= 0.25 1.0187 69 - 0.22523 F. P.Vclarit 2000-200 oltr) In order to have effective interest rate of 25% r=(1+ (1+2 -> (1+3)=1655 It -(1.25) i= 1912 (0.18 769) Thus nominal interest rate = compounded monthly with inivon value from weekly conpondes effective internet sate 22.523118 Z 2000 to 2000 b) 300 200 hus r=0.60 52 and 3 mont's effective interest rate= x 100-15% Prus yearly interest rate= 15 84-60 1.60 = ('te 02 1.009079 = lti i-.472134 interest rate of 47.2134 comprendes weekly valent of capital by 300 in 3 mowns (i=47.2134% Thus llads to an increan an para Fon simple interest Amounts As= P + SI = P + PRI 16 - Pri+ T 100 P['t p[i+ Ti+ 5x17 52x100 O As there are 52 weeks in year and 17 week in 4 month, so rise and. get s.I far 17 weeks) For compound interest ink flere n=1 Amount Ae= P(1 + 0 Look whenek is number of compounding period. As interest is credited for 4 months ie. Is of a year) as interest is credit for weekly. and there one 52-week in a - year and k=52 Ac= 2000(1+ 100x52 y **52 from and we have As = Ac = 2000(1+ $200 2000[ + ] le 91 5200 = 1 + 85 5200 [ + ['t ie 1.0163 J + 5200 5285 5200 3152 it 5200 (1.0163) 1.0009 ie 5200 = 0.0009 lie 91= 4.86 64. 4.97 Anwen. Fr= 0.25 1.0187 69 - 0.22523 F. P.Vclarit 2000-200 oltr) In order to have effective interest rate of 25% r=(1+ (1+2 -> (1+3)=1655 It -(1.25) i= 1912 (0.18 769) Thus nominal interest rate = compounded monthly with inivon value from weekly conpondes effective internet sate 22.523118 Z 2000 to 2000 b) 300 200 hus r=0.60 52 and 3 mont's effective interest rate= x 100-15% Prus yearly interest rate= 15 84-60 1.60 = ('te 02 1.009079 = lti i-.472134 interest rate of 47.2134 comprendes weekly valent of capital by 300 in 3 mowns (i=47.2134% Thus llads to an increan an para Fon simple interest Amounts As= P + SI = P + PRI 16 - Pri+ T 100 P['t p[i+ Ti+ 5x17 52x100 O As there are 52 weeks in year and 17 week in 4 month, so rise and. get s.I far 17 weeks) For compound interest ink flere n=1 Amount Ae= P(1 + 0 Look whenek is number of compounding period. As interest is credited for 4 months ie. Is of a year) as interest is credit for weekly. and there one 52-week in a - year and k=52 Ac= 2000(1+ 100x52 y **52 from and we have As = Ac = 2000(1+ $200 2000[ + ] le 91 5200 = 1 + 85 5200 [ + ['t ie 1.0163 J + 5200 5285 5200 3152 it 5200 (1.0163) 1.0009 ie 5200 = 0.0009 lie 91= 4.86 64. 4.97 Anwen
Step by Step Solution
There are 3 Steps involved in it
Get step-by-step solutions from verified subject matter experts
