Question: This is statistics course, sampling distributions, estimation and tests of significance units.I need help with this. I attached formula sheet in case you need it.




This is statistics course, sampling distributions, estimation and tests of significance units.I need help with this. I attached formula sheet in case you need it.





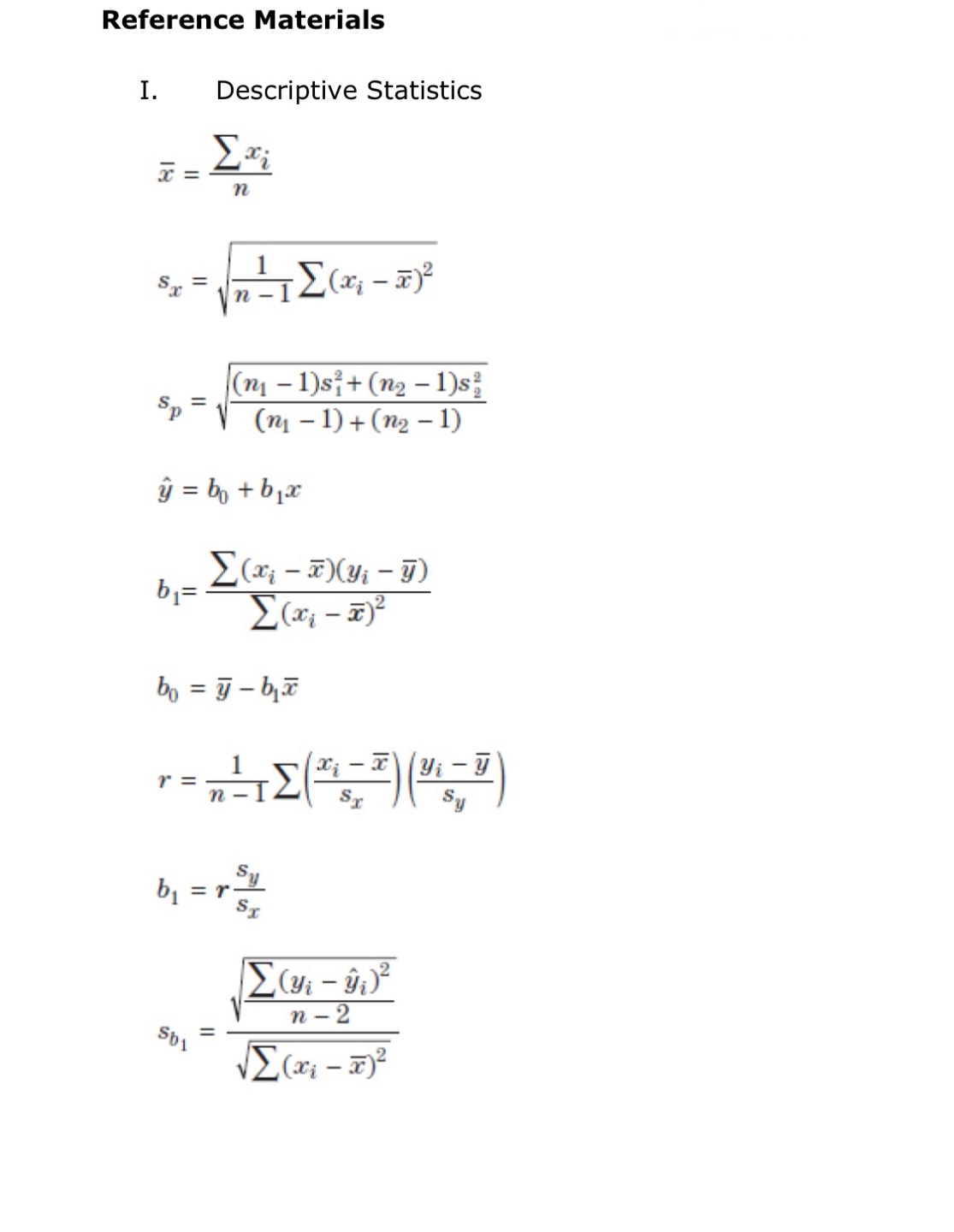
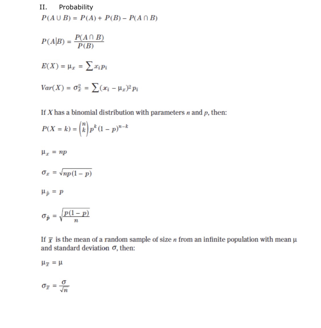
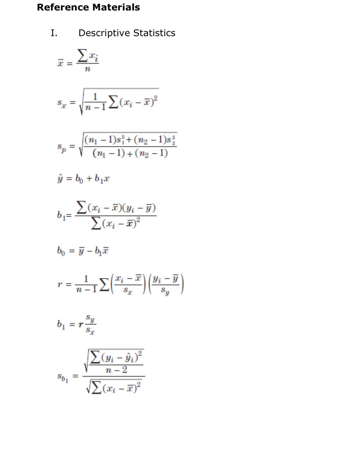
II. Probability P(AUB) = P(A) + P(B) - P(An B) P(AB) = P(An B) P(B) E(X) = Ux = Expi Var(X) = 0; = _(x - ux)2pi If X has a binomial distribution with parameters n and p, then: P(X = k) = k) p* (1 - p)" -* HI = np Or = Vnp(1 - p) Ho = P Op = P(1- p n If x is the mean of a random sample of size n from an infinite population with mean u and standard deviation O, then: MY = HIII. Inferential Statistics Standardized test statistic: statistic - parameter standard deviation of statistic Confidence interval: statistic + (critical value) . (standard deviation of statistic) Single-Sample Statistic Standard Deviation of Statistic Sample Mean Sample Proportion p(1 - p) n Two-Sample Statistic Standard Deviation of Statistic Difference of sample means 722 Special case when 61 =02 ol+1 n2 Difference of PI (1 - PI) + P2 (1 - P2) sample proportions n1 n2 Special case when P1 = P2 Jp(1 - P) 1 + 1 Vn, n2 Chi-square test statistic = \\ (observed - expected) expectedDIRECTIONS: Use the following information for questions 2 and 3. The regression equation is: lifespan = 3.75 - 2.15 weight Predictor Coef St Dev t ratio Constant 3.749 0.861 2.51 0.000 Weight -2.151 0.823 -1.30 0.000 s = 0.3138 R-sq = 96.2% R-sq(adj) = 96.1% D Question 2 1 pts Which of these is the best way to write the least squares regression equation using proper notation? Oy = 3.75 - 2.152 O y = 3.75 - 2.151 Oy = 3.75x - 2.15 O y = 3.75x - 2.15x O I= 3.75 - 2.15yD Question 3 1 pts Given that the output above was generated from 10 data points, the P value for the t-test for Ho: B = 0 and Ha: B # 0 is O 0.25
Step by Step Solution
There are 3 Steps involved in it
Get step-by-step solutions from verified subject matter experts
