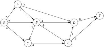
Question: This is to fomulate the maximum flow problem as a minimum cost flow problem for the following network. B 5 E
This is to fomulate the maximum flow problem as a minimum cost flow problem for the following network.
Step by Step Solution
There are 3 Steps involved in it
Get step-by-step solutions from verified subject matter experts
