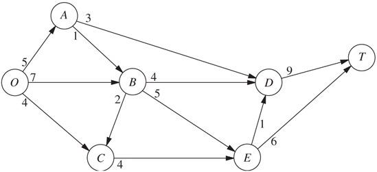
Question: fomulate the maximum flow problem as a minimum cost flow problem for the following network. 3 T 9 4 B D 5 2 E E
fomulate the maximum flow problem as a minimum cost flow problem for the following network.
Step by Step Solution
There are 3 Steps involved in it
1 Expert Approved Answer
Step: 1 Unlock
Question Has Been Solved by an Expert!
Get step-by-step solutions from verified subject matter experts
Step: 2 Unlock
Step: 3 Unlock
