Question: This is using java. Thanks!! Cellphone companies offer various service plans to their customers, and customers are charged different fees based on their plan. Your
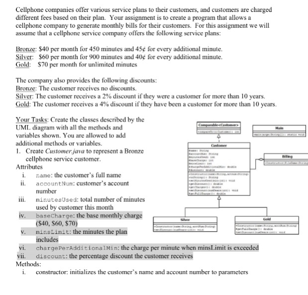
Cellphone companies offer various service plans to their customers, and customers are charged different fees based on their plan. Your assignment is to create a program that allows a cellphone company to generate monthly bills for their customers. For this assignment we will assume that a cellphone service company offers the following service plans: Bronze: $40 per month for 450 minutes and 45e for every additional minute. Silver: $60 per month for 900 minutes and 40 for every additional minute. Gold: $70 per month for unlimited minutes The company also provides the following discounts Bronze: The customer receives no discounts. Silver: The customer receives a 2% discount if they were a customer for more than 10 years. Gold: The customer receives a 4% discount if they have been a customer for more than 10 years Your Tasks: Create the classes described by the UML. diagram with all the methods and variables shown. You are allowed to add additional methods or variables. 1. Create Customer java to represent a Bronze cellphone service customer Attributes i. name: the customer's full name i accountNum: customer's account iii minutesUsed: total number of minutes iv. baseCharge: the base monthly charge number used by customer this month ($40, S60, $70) minsLimit: the minutes the plan includes chargePerAdditionalMin: the charge per minute when minsLimit is exceeded vii. discount: the percentage discount the customer receives Methods i. constructor: initializes the customer's name and account number to parameters
Step by Step Solution
There are 3 Steps involved in it
Get step-by-step solutions from verified subject matter experts
