Question: This is Vector Analysis Math questions. Please make sure you understand how to do the topic. Please write down the process and good writing in
This is Vector Analysis Math questions. Please make sure you understand how to do the topic. Please write down the process and good writing in detail. Thank you.

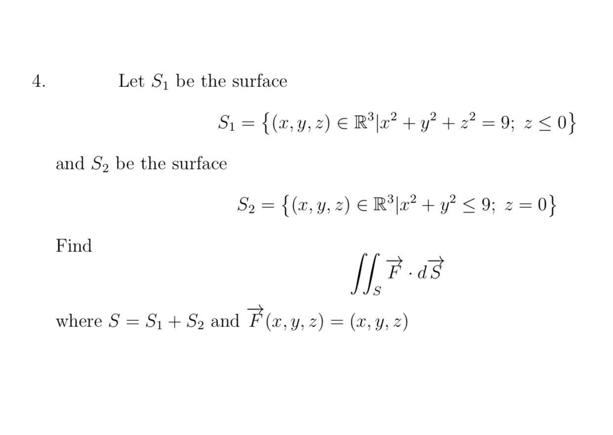
4. Let S, be the surface S1 = {(x, y, z) ERR3x2 + 2 + 2 2 = 9; 250} and S2 be the surface S2 = {(x, y, z) ER3/x2 + 2
Step by Step Solution
There are 3 Steps involved in it
Get step-by-step solutions from verified subject matter experts
