Question: this question has the answer but i need step by step explanation. for example in a the steps to get to the answer so i
this question has the answer but i need step by step explanation. for example in a the steps to get to the answer so i can learn. thank you
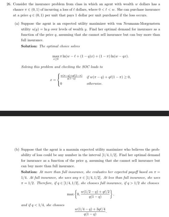
26. Consider the insurance problem from class in which an agent with wealth w dollars has a chance (0,1) of incurring a loss of dollars, where 01/2 she chooses max{0,q(1q)w(1/2q)+q/2}, and if q1/2 she chooses max{0,q(1q)w(1/2q)+q/2}, and if q
Step by Step Solution
There are 3 Steps involved in it
1 Expert Approved Answer
Step: 1 Unlock
Question Has Been Solved by an Expert!
Get step-by-step solutions from verified subject matter experts
Step: 2 Unlock
Step: 3 Unlock
