Question: This question is of Data Structures and Algorithms course.Write the the program in java language and according to given instructions in the picture. (Fall 2020)
This question is of Data Structures and Algorithms course.Write the the program in java language and according to given instructions in the picture.

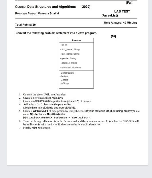
(Fall 2020) Course: Data Structures and Algorithms Resource Person: Vaneeza Shahid LAB TEST (ArrayList) Time Allowed: 40 Minutos Total Points: 20 Convert the following problem statement into a Java program. [20] Person -lain - first_name String last_name String - gender: String -address String - Student Boolean -Constructors -Sets -Getter -toString 1. Convert the given UML into Java class 2. Create a new class called Main.java 3. Create an ArrayListImported from java.util.) of persons. 4. Add at least 5-10 objects in the persons list Divide them into students and non-students $. Create 2 ArrayList of type person by using the code of your previous lab (List using an array), use name Students and NonStudents Hint: AList Person> Students - new AList(): 6. Traverse through all elements in the Persons and add them into respective ALists, like the Students will be in Students AList and NonStudents must be in NonStudents list. 7. Finally print both arrays
Step by Step Solution
There are 3 Steps involved in it
Get step-by-step solutions from verified subject matter experts
