Question: This question simply is asking me to write f(x) as a complex Fourier series. The part that I specifically have an issue with is in
This question simply is asking me to write f(x) as a complex Fourier series. The part that I specifically have an issue with is in the solution where it is simplified. I want to know where the number '1' went and how e^-n was collected with e^n .
Some stuff that might help is under the question:





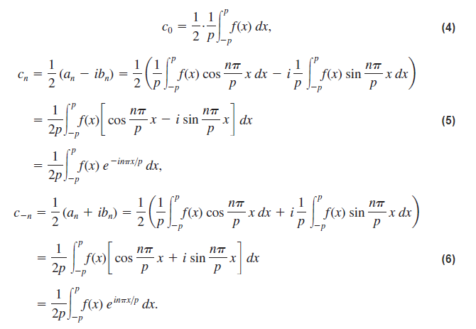
Using (2) to replace cos(nix/p) and sin(nix/p) in (8) of Section 12.2, the Fourier series of a function f can be written do innx/P + pinax/p pinax/P - pinax/p an + bn 2 2 2i do = (an - ib )einux/P+ Can + ib )e -inax/p 2 = Co + _ cre inoxip + EC-me inax/P 1 =1 A = 1 where co = $ ao, Cn = 5 (an - ibn), and con = 5 (an + ibn). The symbols ao, an , and br are the coefficients (9), (10), and (11) respectively, in Definition 12.2.1. When the function fis real, on and con are complex conjugates and can also be written in terms of complex exponential functions:Complex Fourier Series If we first add the two expressions in (1) and solve for cos x and then subtract the two expressions and solve for sin x, we arrive at e ix - pu COS X = and sin x = 2 (2) 2i\f1 1 Co = f(x) dx, 2 PJ-P (4) P Cn = (a, - ibn) = f(x) cos NTT - x dx - i- f(x) sin -p P - x dx P J-p P 1 = f(x) cos -X - i sin 2p. p p - x dx (5) -p 1 P f(x) e -inox/P dx, 2pJ- 1 P C-n = (an + ibn) = N / - f(x) cos xdx + i- f(x) sin - x dx P -p p P J-p P P 2p f(x) cos - x + i sin x dx P p p (6) = 2p f(x) einux/P dx. -P4. (4 pts.) A 2x-periodic function f(x) has the Fourier series expansion f(x) ~ 1+2 ) e"" cos(no). 7=1 The complex Fourier series expansion of f(x) is then given by: (A) f(x) ~ ) engine Solution. (B) f(x) = 1+ ) en ginz f(x) ~ 1+2> e" interinc n=1 2 n=-pc DO =1+emeinx + (C) f(z) ~ ) n=1 1=1 =itemex + - (D) f(x) ~ _ e Ingin 7=1 1=-DO 1=-DO (E) f(x) ~ 1/2+ > e-lol pins 71=-00 n=0
Step by Step Solution
There are 3 Steps involved in it
Get step-by-step solutions from verified subject matter experts
