Question: Topic: College Registration Subject: Statistic Methods and Analysis Using the provide data please answer the following question. 1. Make an Insights ( What we're trying
Topic: College Registration
Subject: Statistic Methods and Analysis
Using the provide data please answer the following question.
1. Make an Insights (What we're trying to discover)
2. Make a meaningful pivot table that shows the highlight of the provided excel sheet below.
3. Make a bubble chart related to question no. 2 and explain how you do it and how did you come up to this graph.
4. Make concluding statement about what the chart reveals related to the insight thatwould be of interest to your business/topic.
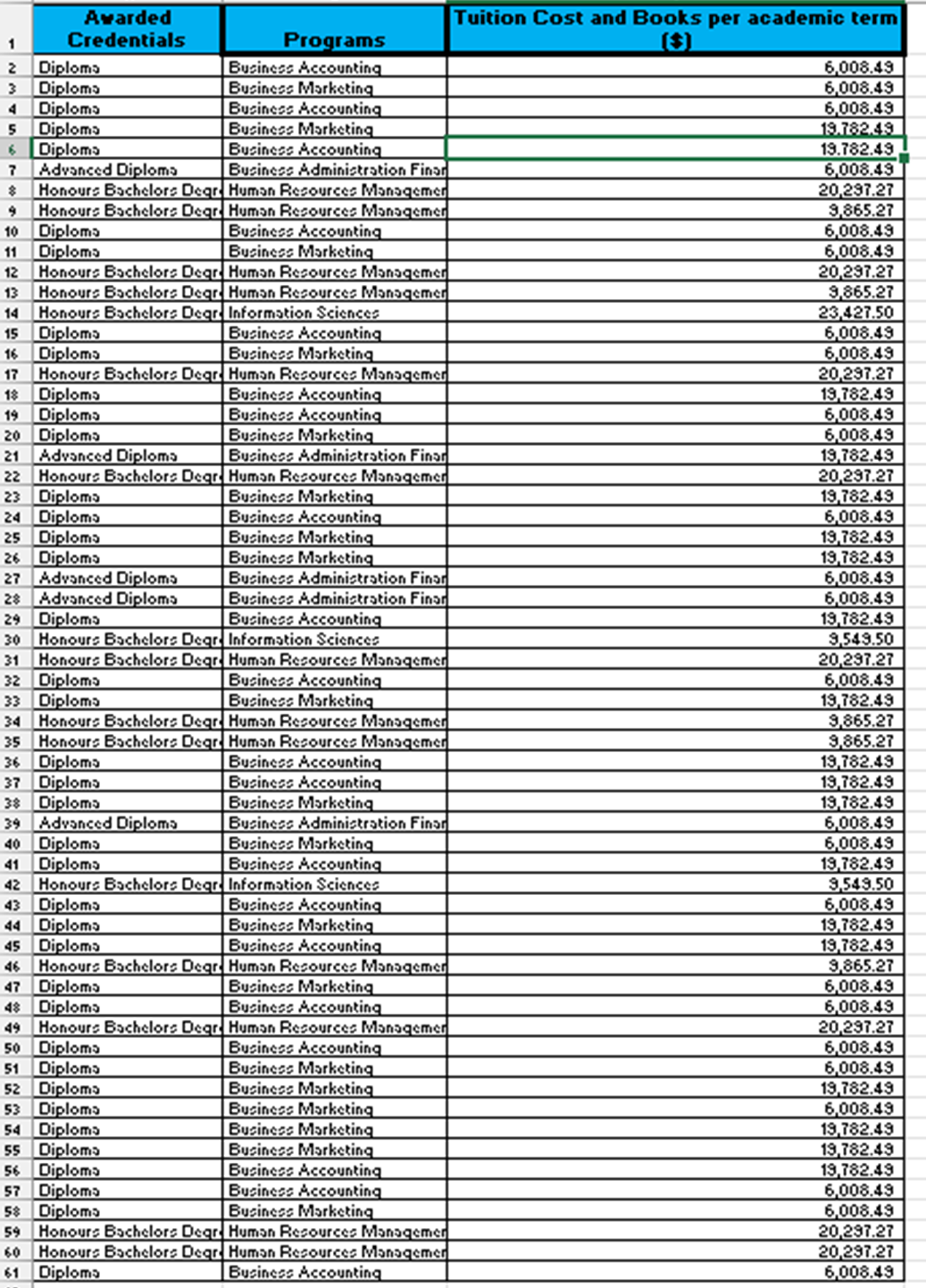
excel sheet

Awarded Tuition Cost and Books per academic term Credentials Programs 2 Diploma Business Accounting 6.008.49 3 Diploma Business Marketing 6,008.49 Diploma Business Accounting 6,008.49 5 Diploma Business Marketing 19.782.49 Diploma Business Accounting 19.782.49 7 Advanced Diploma Business Administration Finan 6,008.49 $ Honours Bachelors Degre Human Resources Managemen 20.297.27 Honours Bachelors Degr. Human Resources Managemer 9.865.27 10 Diplom: Business Accounting 6.008.49 11 Diploma Business Marketing 6,008.49 12 Honours Bachelors Degre Human Resources Managemen 20.297.27 13 Honours Bachelors Degre Human Resources Managemer 9.865.27 14 Honours Bachelors Degr Information Sciences 23.427.50 15 Diploma Business Accounting 6,008.49 16 Diploma Business Marketing 6,008.49 17 Honours Bachelors Degre Human Resources Managemer 20 297.27 18 Diploma Business Accounting 19,782.49 19 Diploma Business Accounting 6,008.49 20 Diploma Business Marketing 6,008.49 21 Advanced Diplom Business Administration Finer 19,782.49 22 Honours Bachelors Degre Human Resources Managemer 20.297.27 23 Diploma Business Marketing 19.782.49 24 Diploma Business Accounting 6.008.49 25 Diploma Business Marketing 19 782.49 26 Diplom Business Marketing 19,782.49 Advanced Diploma Business Administration Finer 6,008.49 Advanced Diploma Business Administration Finor 6,008.49 29 Diploma Business Accounting 19 782.49 30 Honours Bachelors Degr. Information Sciences 9.549.50 31 Honours Bachelors Degre Human Resources Managemer 20.297.27 32 Diploma Business Accounting 6,008.49 33 Diploms Business Marketing 19,782.49 34 Honours Bachelors Degre Human Resources Managemen 9.865.27 35 Honours Bachelors Degre Human Resources Managemer 9.865.27 36 Diploma Business Accounting 19,782.49 37 Diploma Business Accounting 19,782.49 38 Diploma Business Marketing 19 782.49 39 Advanced Diploma Business Administration Finer 6.008.49 40 Diplom Business Marketing 6,008.49 41 Diploma Business Accounting 19 782.49 42 Honours Bachelors Dear. Information Sciences 9.549.50 43 Diplom Business Accounting 6,008.49 44 Diploma Business Marketing 19,782.49 Diploma Business Accounting 19,782.49 46 Honours Bachelors Degr. Human Resources Managemer 9.865.27 Diploma Business Marketing 6,008.49 Diploma Business Accounting 6,008.49 49 Honours Bachelors Degr. Human Resources Managemer 20.297.27 50 Diploms Business Accounting 6,008.49 51 Diploma Business Marketing 6,008.49 52 Diploma Business Marketing 19,782.49 53 Diploma Business Marketing 6,008.49 54 Diploma Business Marketing 19 782.49 55 Diploma Business Marketing 19,782.49 56 Diploma Business Accounting 19,782.49 57 Diploma Business Accounting 6.008.49 5$ Diploma Business Marketing 6.008.49 59 Honours Bachelors Dear. Human Resources Managemer 20.297.27 60 Honours Bachelors Degre Human Resources Managemer 20.297.27 61 Diploma Business Accounting 6,008.49
Step by Step Solution
There are 3 Steps involved in it
Get step-by-step solutions from verified subject matter experts
