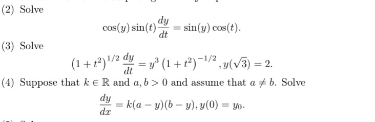
Question: Topic: First Order Differential EquationsHere are three questions below, please solve these differential equations! Thank you! (2) Solve cos(y) sin(t) dy dt = sin(y )
Topic: First Order Differential EquationsHere are three questions below, please solve these differential equations! Thank you!

Step by Step Solution
There are 3 Steps involved in it
Get step-by-step solutions from verified subject matter experts
