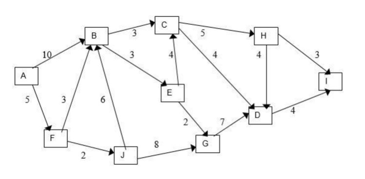
Question: TOW TASK: 1- trace with Floyd-Warshall algorithm and then 2- make code java B 3 5 2 H 10 3 4 4 4 3 A
TOW TASK: 1- trace with Floyd-Warshall algorithm and then 2- make code java

B 3 5 2 H 10 3 4 4 4 3 A E 5 5 3 3 6 D 2 2 F co G 2 J
Step by Step Solution
There are 3 Steps involved in it
Get step-by-step solutions from verified subject matter experts
