Question: Trar Table 4-5 Calculated Viscosity, Gas Deviation Factor, and Real Gas Pseudo-pressure for Example 4-9 (psi) u (cp) m(p) (psi?/cp) 8.917 x 10 3.548




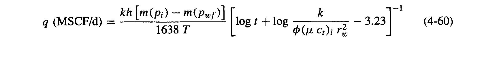
Trar Table 4-5 Calculated Viscosity, Gas Deviation Factor, and Real Gas Pseudo-pressure for Example 4-9 (psi) u (cp) m(p) (psi?/cp) 8.917 x 10 3.548 x 106 7.931 x 106 1.401 x 107 2.174 x 107 3.108 x 107 4.202 x 107 5.450 x 107 6.849 x 107 8.396 x 107 1.009 108 1.192 x 108 1.389 x 108 1.598 x 10% 1.821 x 108 2.056 x 10% 2.303 x 10% 2.562 x 10% 2.831 x 108 3.111 x 103 3.401 x 108 3.700 x 108 4.009 108 4.326 x 108 4.651 x 10% 4.984 x 103 5.324 x 108 5.670 x 108 6.023 x 10% 6.381 x 10% 6.745 x 108 7.114 x 108 7.487 x 108 7.864 x 108 8.245 x 108 8.630 x 108 9.018 x 10% 100 0.991 0.981 0.0113 200 0.0116 0.972 0.964 0.955 0.947 0.939 0.931 0.924 0.917 300 0.0118 400 500 0.0120 0.0123 600 0.0125 700 0.0127 800 0.0130 900 0.0132 1000 0.0135 1100 0.0137 0.0140 0.910 1200 0.904 1300 0.0142 0.899 0.894 0.889 0.885 1400 0.0145 1500 0.0147 1600 0.0150 1700 0.0153 0.881 1800 1900 0.0155 0.878 0.0158 0.876 0.874 0.872 0.872 2000 0.0161 2100 0.0163 2200 0.0166 2300 0.0169 0.871 2400 0.0171 0.871 2500 0.0174 0.872 0.873 0.875 0.877 2600 0.0177 2700 0.0180 0.0183 2800 2900 0.0185 0.879 0.882 0.885 0.889 0.893 0.897 0.902 3000 0.0188 3100 0.0191 0.0194 0.0197 3200 3300 3400 0.0200 3500 0.0203 3600 0.0206 0.907 0.912 3700 0.0208 Table 4-5 (Continued) Calculated Viscosity, Gas Deviation Factor, and Real Gas Pseudo-pressure for Example 4-9 (psi) () m(p) (psi?/cp) 9.408 x 108 9.802 x 10% 1.020 x 10 1.059 10 1.099 x 10 1.139 x 10 1.180 x 10 1.220 x 10 1.260 x 10 1.301 x 10 1.342 x 10 1.382 x 10 1.423 x 10 3800 3900 0.0211 0.917 0.0214 0.0217 0.923 0.929 4000 4100 0.0220 0.935 4200 0.0223 0.941 4300 0.0226 0.947 4400 0.0229 0.954 4500 4600 0.0232 0.961 0.0235 0.967 4700 0.0238 0.974 4800 0.0241 0.982 4900 0.0244 0.989 5000 0.0247 0.996 1 kh [m(p;) m(pwf)] k q (MSCF/d) log t + log -3.23 (4-60) 1638 T $ (H c;); r The real-gas pseudo-pressure data in Table 4-5 can be used for a number of calculations along with Eq. (4-60). With the data in Appendix C, calculate the required flowing bottomhole pressure after 6 months if the flow rate is 1000 MSCF/d.
Step by Step Solution
3.51 Rating (151 Votes )
There are 3 Steps involved in it
Bulk density is one of the important engineering property of biomass having significant impact on th... View full answer
Get step-by-step solutions from verified subject matter experts
