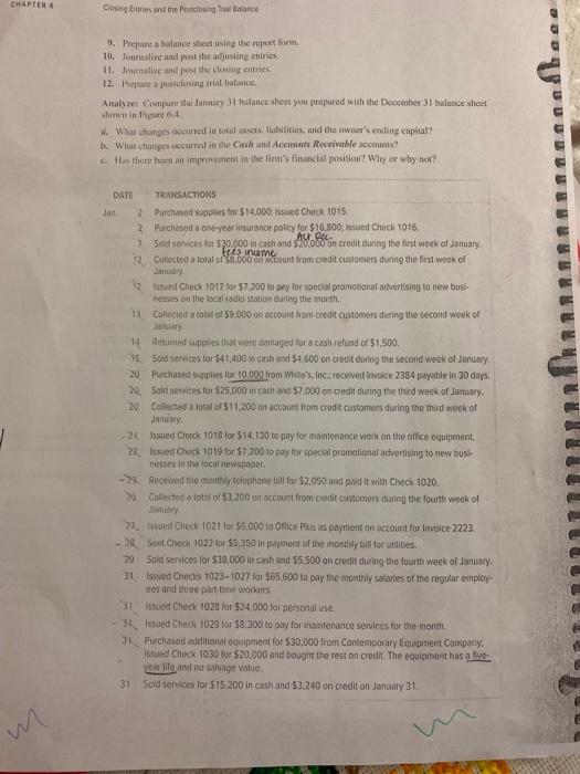
Question: trial balance on the worksheet! need help asap CHAPTER Closing Entries and the exclosing That Balance de 9. Prepare a balance sheet using the report
CHAPTER Closing Entries and the exclosing That Balance de 9. Prepare a balance sheet using the report form. 10. Jouniulize and post the adjusting entries 11. Journal and post the closing entries 12. Prepare a posiclosing trial balance Analyze: Compare the lary 31 bulance shoot you prepared with the December 31 balance sheet show hugur 4 What changes occurred in total seliabilities, and the owner's enling capital? 1. What changes occurred in the Cash and Account Receivable account? c. He there been an improwement in the firm's financial position? Why or why not? DATE TRANSACTIONS 2 Purchased supplies for $14.000, issued Check 1015 2 Purchased a one year insurance policy for $16,800, Suod Check 1016 A. Per Sold services for 570.000 in cash and $20.00 on credit during the first week of January 12 Conectod a total 38.000 ca account from credit customers during the first week of January 12 Sound Check 1017 for 57.200 to pay for special promotional advertising to new busi: nesses on the local radio station during the month. 13 Collected a total of $9.000 an account from credit customers during the second week of January 14 Returned supplies that were comaged for a cash refund of $1,500, 15. Sold Services for $41.400 in cats and $4.600 on credit during the second week of January 20 Puchased supplies for 10.000 from White's, Inc. received voice 2384 payable in 30 days 20 Sold services for $25,000 in cash and $7.000 on credit during the third week of January 20 Collected a total of 511,200 on account from credit customers during the third week of January -20 issued Check 1018 for $14.130 to pay for maintenance work on the office equipment 22 Issued Check 1019 for $7,200 to pay for special promotional advertising to new busi- nesses in the local newspaper - Received the monthly telephone bill for $2.050 and paid it with Check 1020 6 Collected a total of $3,200 on account from credit customers during the fourth week of January 27 Issued Check 1021 for 55.000 to Office Plus as payment on account for lovoice 2223 28 Sent Check 1022 for $5,350 in payment of the mostly be for utilities 29 Sold services for $18,000 in cash and $5.500 on credit during the fourth week of January 31 Issued Checks 1023-1027 for $65.600 to pay the monthly salaries of the regular employ ces and three part-time workers 31 issued Check 1028 for $24,000 for personal use. Issued Check 1029 for $8.300 to pay for maintenance services for the month 31 Purchased additional equipment for $30,000 from Contemporary Equipment Company issued Check 1030 for $20.000 and bought the rest on credit. The equipment has a five year life and no salvage volue. 31 Sold services for $15.200 in cash and 53.240 on credit on January 31 CHAPTER Closing Entries and the exclosing That Balance de 9. Prepare a balance sheet using the report form. 10. Jouniulize and post the adjusting entries 11. Journal and post the closing entries 12. Prepare a posiclosing trial balance Analyze: Compare the lary 31 bulance shoot you prepared with the December 31 balance sheet show hugur 4 What changes occurred in total seliabilities, and the owner's enling capital? 1. What changes occurred in the Cash and Account Receivable account? c. He there been an improwement in the firm's financial position? Why or why not? DATE TRANSACTIONS 2 Purchased supplies for $14.000, issued Check 1015 2 Purchased a one year insurance policy for $16,800, Suod Check 1016 A. Per Sold services for 570.000 in cash and $20.00 on credit during the first week of January 12 Conectod a total 38.000 ca account from credit customers during the first week of January 12 Sound Check 1017 for 57.200 to pay for special promotional advertising to new busi: nesses on the local radio station during the month. 13 Collected a total of $9.000 an account from credit customers during the second week of January 14 Returned supplies that were comaged for a cash refund of $1,500, 15. Sold Services for $41.400 in cats and $4.600 on credit during the second week of January 20 Puchased supplies for 10.000 from White's, Inc. received voice 2384 payable in 30 days 20 Sold services for $25,000 in cash and $7.000 on credit during the third week of January 20 Collected a total of 511,200 on account from credit customers during the third week of January -20 issued Check 1018 for $14.130 to pay for maintenance work on the office equipment 22 Issued Check 1019 for $7,200 to pay for special promotional advertising to new busi- nesses in the local newspaper - Received the monthly telephone bill for $2.050 and paid it with Check 1020 6 Collected a total of $3,200 on account from credit customers during the fourth week of January 27 Issued Check 1021 for 55.000 to Office Plus as payment on account for lovoice 2223 28 Sent Check 1022 for $5,350 in payment of the mostly be for utilities 29 Sold services for $18,000 in cash and $5.500 on credit during the fourth week of January 31 Issued Checks 1023-1027 for $65.600 to pay the monthly salaries of the regular employ ces and three part-time workers 31 issued Check 1028 for $24,000 for personal use. Issued Check 1029 for $8.300 to pay for maintenance services for the month 31 Purchased additional equipment for $30,000 from Contemporary Equipment Company issued Check 1030 for $20.000 and bought the rest on credit. The equipment has a five year life and no salvage volue. 31 Sold services for $15.200 in cash and 53.240 on credit on January 31
Step by Step Solution
There are 3 Steps involved in it
Get step-by-step solutions from verified subject matter experts
