Question: Trigonometry Assignment You must show your work for full marks 1. Use the 180-degree rule to find angle A 40 A2. Use the Pythagorean theorem












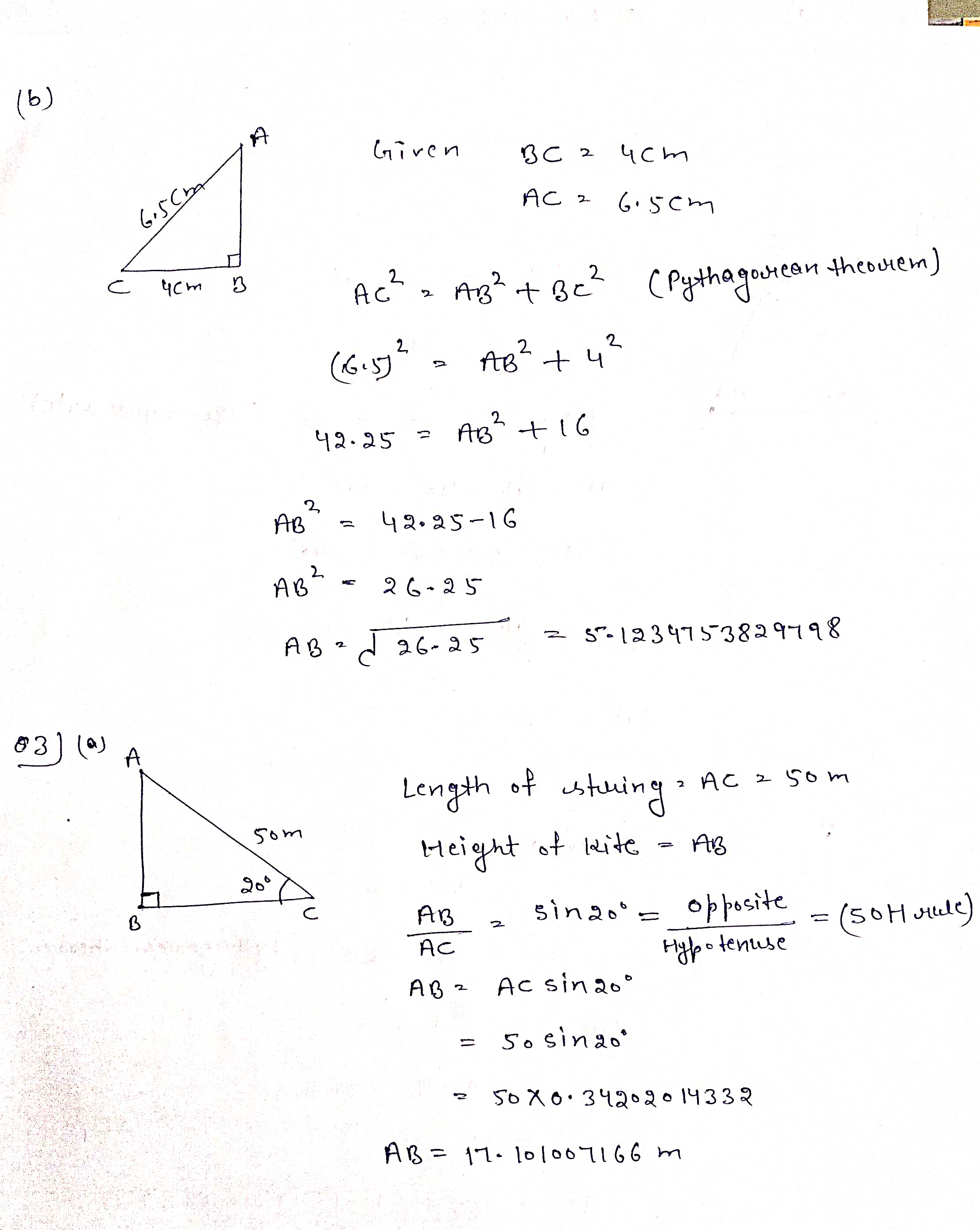
Trigonometry Assignment You must show your work for full marks 1. Use the 180-degree rule to find angle A 40 A2. Use the Pythagorean theorem to find the missing side (6 marks) a b. 6.5 cm 4 cm3. Use SOHCAHTOA to find the missing side (a.) and angle (b) (5 marks) Height of kite Length of string = 50m 20 a. K 60m Angle x 10m b. FocusD'Cunha MAP4C 4. Use the Sine law to find the missing side in part (a) and angle in part (b) (5 marks) a. Find b (AC) 24 118" b. Find
Step by Step Solution
There are 3 Steps involved in it
Get step-by-step solutions from verified subject matter experts
