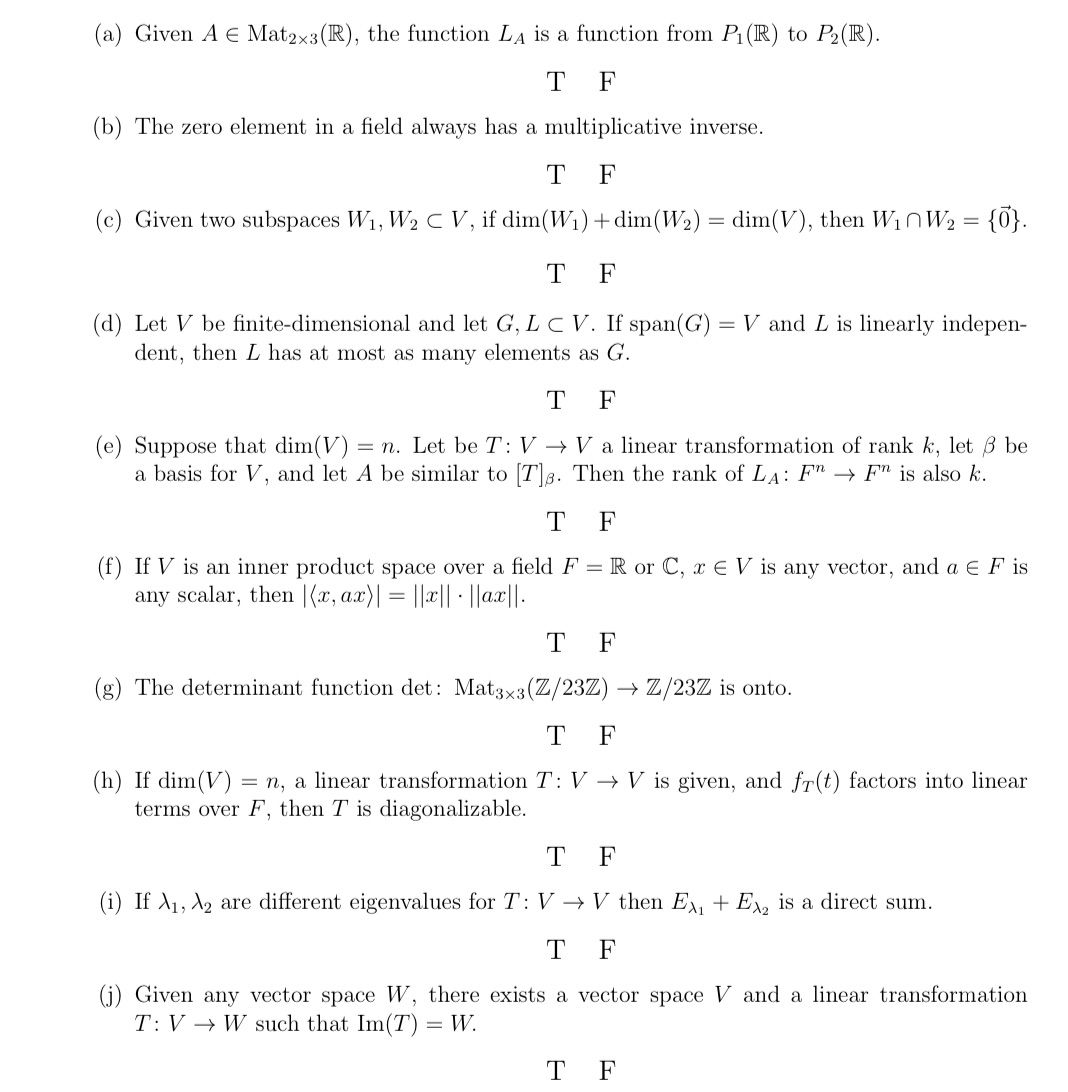
Question: true or false (a) Given A E Mat2x3(R), the function LA is a function from Pi (R) to P2(R). T F (b) The zero element
true or false

Step by Step Solution
There are 3 Steps involved in it
1 Expert Approved Answer
Step: 1 Unlock
Question Has Been Solved by an Expert!
Get step-by-step solutions from verified subject matter experts
Step: 2 Unlock
Step: 3 Unlock
