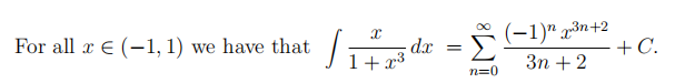
Question: True or false questions: For all r E (-1, 1) we have that (-1)2 23+2 1+ 23 de = n=0 3n + 2 + C.If
True or false questions:





Step by Step Solution
There are 3 Steps involved in it
1 Expert Approved Answer
Step: 1 Unlock
Question Has Been Solved by an Expert!
Get step-by-step solutions from verified subject matter experts
Step: 2 Unlock
Step: 3 Unlock
