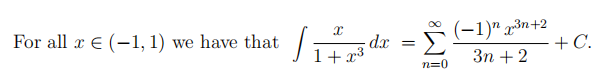
Question: True or false questions: For all r E (-1, 1) we have that (-1)2 23+2 1+ 23 de = n=0 3n + 2 + C.If
True or false questions:



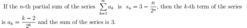
For all r E (-1, 1) we have that (-1)2 23+2 1+ 23 de = n=0 3n + 2 + C.If an > 0 for all natural numbers n and the sequence (an ) is decreasing, then there exists a real number L > 0 such that an -> L as n - 00.n If the n-th partial sum of the series E ak is Sn = 3 - mn, then the k-th term of the series k=1 k - 2 is ak = and the sum of the series is 3
Step by Step Solution
There are 3 Steps involved in it
Get step-by-step solutions from verified subject matter experts
